【信号与系统】(十二)傅里叶变换与频域分析——信号分解为正交函数
文章目录
- 信号分解为正交函数
- 1 矢量的正交分解
- 2 信号的正交分解
- 3 帕斯瓦尔定理
信号分解为正交函数
1 矢量的正交分解
(1)矢量正交
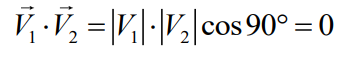
复习:两矢量 V 1 V_1 V1与 V 2 V_2 V2正交,夹角为90°

两正交矢量的内积为零

(2)正交矢量集
由两两正交的矢量组成的矢量集合。
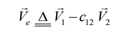
(3)非正交矢量的近似表示及误差

用与 V 2 V_2 V2成比例的矢量 c 12 V 2 c_{12}V_2 c12V2近似地表示 V 1 V_1 V1,则误差矢量

显然,当两矢量 V 1 V_1 V1与 V 2 V_2 V2正交时, c 12 = 0 c_{12}=0 c12=0,即 V 1 ⋅ V 2 = 0 V_1·V_2=0 V1⋅V2=0。
(4)矢量正交分解:任意 N N N维矢量可由N维正交坐标系表示。

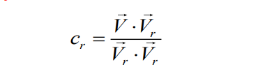
推广到 n n n维空间: n n n维空间的任一矢量 V V V,可以精确地表示为 n n n个正交矢量的线性组合, 即

式中, V i ⋅ V j = 0 ( i ≠ j ) V_i·V_j=0 (i≠j) Vi⋅Vj=0(i=j),第 r r r 个分量的系数

思路:将矢量空间正交分解的概念可推广到信号空间:在信号空间找到若干个相互正交的信号作为基本信号,使得信号空间中任意信号均可表示成它们的线性组合。
2 信号的正交分解
(1)信号正交

注意是在区间内,超出区间就不一定了。
(2)正交函数集

(3)完备正交函数集

没有其他非零 φ ( t ) \varphi(t) φ(t)与 φ i \varphi_i φi正交,即把全部找到。

(4)信号的正交分解




和的平方 ≥ \ge ≥平方和

∗ * ∗:共轭
备注:这里的 φ i ( t ) \varphi_i(t) φi(t)就是你要找的正交函数。
3 帕斯瓦尔定理
帕斯瓦尔方程:

物理意义:在区间 ( t 1 , t 2 ) (t_1,t_2) (t1,t2), 信号 f ( t ) f(t) f(t)所含有的能量``恒等于此信号在完备正交函数集中各正交分量能量之和,即能量守恒定理, 也称帕斯瓦尔定理。
数学本质:矢量空间信号正交变换的范数不变性。
《工程信号与系统》作者:郭宝龙等
中国大学MOOC:信号与系统 ,西安电子科技大学,郭宝龙,朱娟娟
本文来自互联网用户投稿,文章观点仅代表作者本人,不代表本站立场,不承担相关法律责任。如若转载,请注明出处。 如若内容造成侵权/违法违规/事实不符,请点击【内容举报】进行投诉反馈!
