计算机考研专题数学之不定积分入门篇(1)
计算机考研专题数学之不定积分入门篇(1)
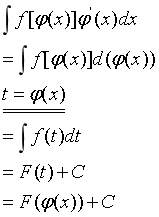
1.换元积分法
- 形如
,可以通过变形解出积分。
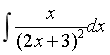
例1:
分析:这是一道运用换元积分的题目,我们应该将分子凑出分母的样子,后面也应该凑出分母的样子,再把乘多的倍数补回去。也就是变换成:
,
解:
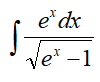
例2:
分析:通过观察发现指数位置的导数正好是积分前半部分,所以把指数部分丢到后面变化成:
,
解:
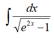
例3:
分析:观察对
进行求导发现
式子比分子多了一个
,尝试分子分母同乘
解:
例4:
分析:通过观察,e是进出自由的,可以把他放到后面。
解:
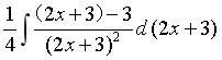
例5:
分析:通过观察,想通过2倍根号难以实现,也无法将谁放在后面,所以看到结构中有类似平方差,提取
,将式子变化成:
解:
本文来自互联网用户投稿,文章观点仅代表作者本人,不代表本站立场,不承担相关法律责任。如若转载,请注明出处。 如若内容造成侵权/违法违规/事实不符,请点击【内容举报】进行投诉反馈!
