非静压模型NHWAVE学习(2)——垂向σ-坐标系
NHWAVE模型垂向σ-坐标系
- NHWAVE模型原理回顾
- 垂向σ-坐标系
- 基于σ-坐标系的N-S方程的变形
- 其它
- 参考文献
这个系列的blog有点类似NHWAVE手册和代码的解读,内容之中也会穿插一些个人的学习体会。
NHWAVE模型原理回顾
在 非静压模型NHWAVE学习(1)——模型原理简介 中,我们主要介绍了模型的控制方程。
包括控制水流运动的N-S方程,和控制物质输运的对流-扩散方程。
- N-S方程

- 对流-扩散方程

垂向σ-坐标系
在非静压模型NHWAVE中,自由表面水位 η 被假定为水平位置的单值函数,即
η = η ( x , y , t ) η=η(x,y,t) η=η(x,y,t)
这种处理方式不同于传统的VOF、MAC等自由表面追踪技术,有着更高的计算效率。
为了使模型系统适应上述的处理方式,以及网格适应复杂的水底地形与自由表面形态的变化,NHWAVE模型采用了Phillips (1957) 1 提出的坐标变换方法(将在原时空笛卡尔坐标系统(x*, y*, z*, t*)下的物理量转化至新系统(x, y, z, t)之中):

式子中,D = h + η,h表示水深,η表示水位;于是,在垂直方向上,取值范围为 [-h(x*, y*, t*), η(x*, y*, t*)] 的 z*(x*, y*, t*) 转换成了处处取值为 [0, 1] 的 σ。就像方程做了如下的网格变形。

(注: 上图中左图为物理区域,右图为转化后的计算区域)
基于σ-坐标系的N-S方程的变形
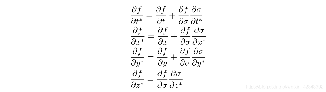
假设一个在新坐标系统下的函数
f = f ( x ∗ , y ∗ , z ∗ , t ∗ ) f = f(x^*,y^*, z^*, t^* ) f=f(x∗,y∗,z∗,t∗)
应用复合函数的链式法则,我们可以得到:

以及,

于是,连续性方程就被写成

或

式子中的ω表示的是σ-坐标系下的垂向速度(垂直于σ-坐标系网格的速度),ω与垂向速度w的关系为:

将上述连续性方程沿垂向积分,得到了

解出了总水深D,则可求得自由表面位置;即上式是自由表面的控制方程。
同理,N-S方程中的动量方程同样可以由上面的方法进行坐标变换,得到如下的动量方程形式:

其中,



详细可见NHWAVE模型手册及Gangfeng Ma等人的论文(20122,2013 3)。
其它
最后再简要介绍以下其它常见的σ-坐标系。
NHWAVE模型中的σ-坐标系一般被称作单层σ-坐标系,即它将整个垂向区域都纳入了σ-坐标体系中。在实际应用过程中,单层σ-坐标系内整个计算区域的网格会随着自由水面波动而波动,难以固定计算域内某一固定点的位置。
为了克服这样的缺陷,香港学者李行伟(C. W. Lee)等人提出了两层σ-坐标系 4,即上层网格随自由水面波动而变化,下层网格固定不变。他应用这种坐标系计算了底柱扰流,得到了非常不错的模拟效果。
在此之后,我国学者林鹏智(P. Lin)提出了多层σ-坐标系5,并将此推广到任意层 坐标下波和障碍物耦合作用研究。以三层σ-坐标系为例,它在垂向的网格布置如下图所示。

(注: 上图中左图为物理区域,右图为转化后的计算区域)
参考文献
Phillips, N.A… A coordinate system having some special advantages for numerical forecasting. J. Meteor, 1957, 14, 184–185. ↩︎
Ma G , Shi F , Kirby J T . Shock-capturing non-hydrostatic model for fully dispersive surface wave processes[J]. Ocean Modelling, 2012, 43-44(22-35):22-35. ↩︎
Ma G , Kirby J T , F Shi. Numerical simulation of tsunami waves generated by deformable submarine landslides[J]. Ocean Modelling, 2013, 69(Complete):146-165. ↩︎
Li, C. W , Zhu, et al. A sigma coordinate 3D k–ε model for turbulent free surface flow over a submerged structure.[J]. Applied Mathematical Modelling, 2002. ↩︎
Lin P . A multiple-layer σ-coordinate model for simulation of wave-structure interaction[J]. Computers & Fluids, 2006, 35(2):147-167. ↩︎
本文来自互联网用户投稿,文章观点仅代表作者本人,不代表本站立场,不承担相关法律责任。如若转载,请注明出处。 如若内容造成侵权/违法违规/事实不符,请点击【内容举报】进行投诉反馈!
