如何将复矩阵的求逆转换成实矩阵的求逆
如何将复矩阵的求逆转换成实矩阵的求逆
- 1 第1种方法-利用公式复矩阵的逆和实矩阵的逆的公式
- 1.1 基本原理
- 1.2 仿真验证
- 2 第2种方法-扩维(将NxN的复矩阵扩维成2Nx2N的实数矩阵)
- 2.1 基本原理
- 2.2 仿真验证
1 第1种方法-利用公式复矩阵的逆和实矩阵的逆的公式
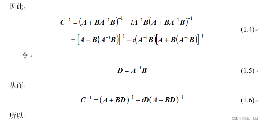
1.1 基本原理
参考文献:[1]两种求复数矩阵逆的方法_董永胜



1.2 仿真验证
%% 实矩阵求逆
% 利用LDL分解---前提条件:A是对称矩阵,且各阶顺序主子式不为零
close all;
clear all;
clc;%% 参数设置
% C=[999947.964742088 + 0.00000000000000i,-741898.521640967 - 670571.177782035i,100695.323966528 + 994872.869186370i,592439.224433985 - 805606.019494248i;
% -741898.521640967 + 670571.177782035i,1000138.59931142 + 0.00000000000000i,-741881.243528669 - 670606.522266526i,100691.066103978 + 995005.332047500i;
% 100695.323966528 - 994872.869186370i,-741881.243528669 + 670606.522266526i,999969.508745995 + 0.00000000000000i,-741858.826151861 - 670559.078102908i;
%
本文来自互联网用户投稿,文章观点仅代表作者本人,不代表本站立场,不承担相关法律责任。如若转载,请注明出处。 如若内容造成侵权/违法违规/事实不符,请点击【内容举报】进行投诉反馈!
