线性代数-程序员的线性代数-矩阵乘法的性质与矩阵的转置(4.9-4.11)
背景和目标
- 背景,继续进行线性代数的研究和总结
- 目标,了解矩阵的基础操作
划重点
4.9 矩阵乘法的性质
- 乘法分配率
- 乘法结合律
- 不支持交换律

- 矩阵相乘,非常关注形状
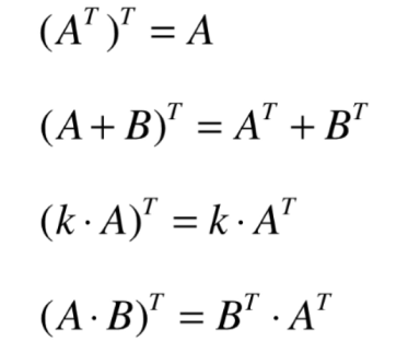
4.10 矩阵的转置
- 概念(为了进行矩阵相乘,才出现了矩阵转置的概念),简而言之,行变成列,列变成行
- 转置的性质

矩阵的特殊含义:
- 矩阵可以表征一个系统,比如说分数系统
- 矩阵可以表征一个函数
4.11 实战矩阵转置
略过了,直接用numpy的T,非常容易实现。。
本文来自互联网用户投稿,文章观点仅代表作者本人,不代表本站立场,不承担相关法律责任。如若转载,请注明出处。 如若内容造成侵权/违法违规/事实不符,请点击【内容举报】进行投诉反馈!
