电路笔记下半部分
12章三相电路
12.1 定义解释。

12.2 线电压(电流)与相电压(电流)的关系。

对称三相电路的计算。


12.4 不对称三项电路。(UN’N近似等于0不等于0)一般加东西使他们对称。
12.5 三相电路的功率。


13章非正弦周期电流电路和信号的频谱
13.1 非正弦周期信号。

例题:
13.2 非正弦周期电流电路的计算。
1:谐波分析法。








14 线性动态电路的复频域分析。
14.1 拉普拉斯变换的定义。

14.2 拉普拉斯变换的基本性质。
1:线性性质。

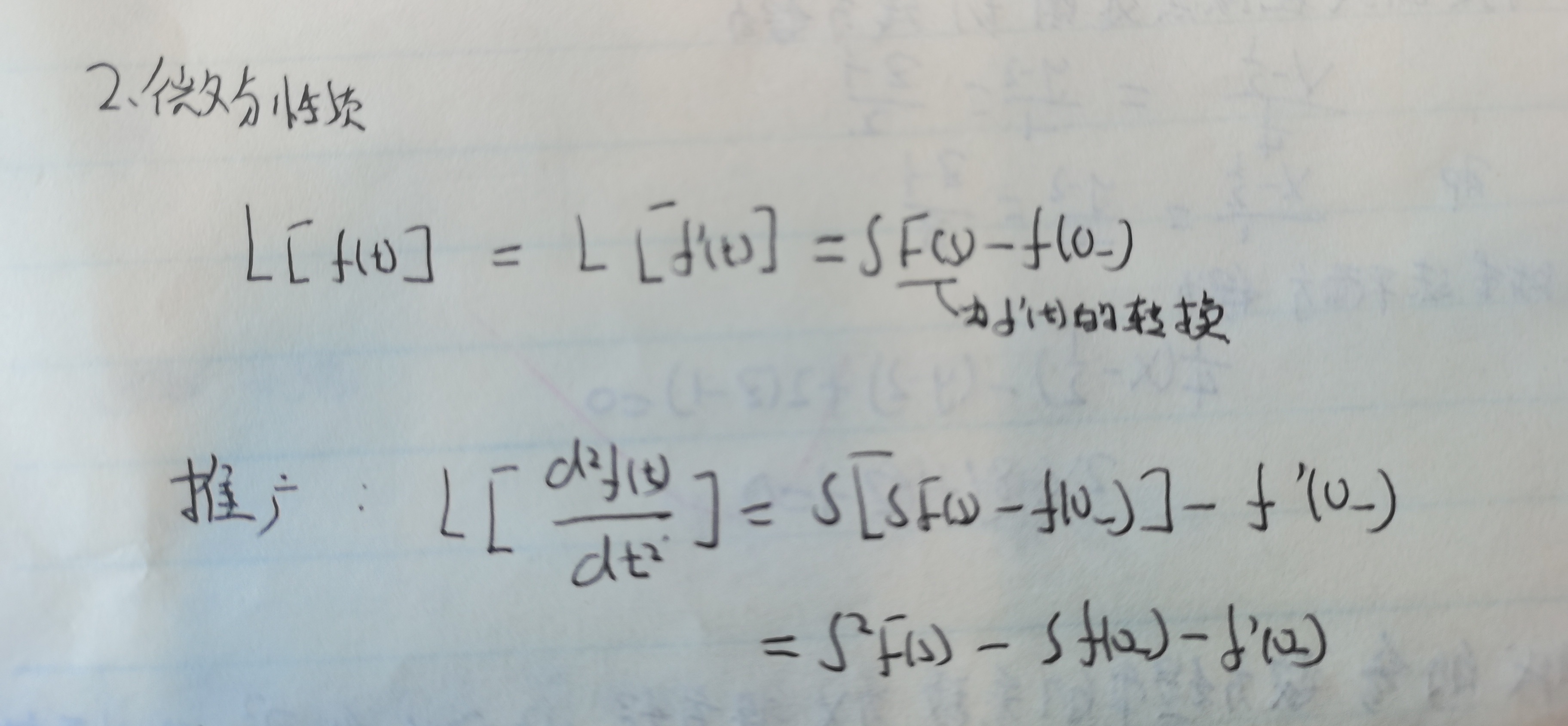
2:微分性质。

3:积分性质。

4:延迟性质。

14.3 拉普拉斯反变换的部分展开。
1:分母单根。

:2:共轭复根。
3:重根。


小结:

14.4 运算电路






14.5 应用拉普拉斯变换法分析线性电路。


14.6 网络函数。







14.7:极点,零点的求法。


14.8:极点,零点,冲激响应和暂态响应。

15:电路方程的矩阵形式。
进去节点为负
出去节点为正
列为节点,4节点为参考去掉了。
行位支路
Y里面对应的是六条之路的电导G

本文来自互联网用户投稿,文章观点仅代表作者本人,不代表本站立场,不承担相关法律责任。如若转载,请注明出处。 如若内容造成侵权/违法违规/事实不符,请点击【内容举报】进行投诉反馈!
