复阻抗传递函数
在画控制系统方框图时,需要将从输入量到输出量的所有中间变量及传递函数写出,以便画图,在电路系统中时常遇到电感和电容,其传递函数和s域电路模型推导如下:
1.电容传递函数:
电容输入输出关系
以 u c ( t ) u_c(t) uc(t)为输出, i ( t ) i(t) i(t)为输入,则有:
i ( t ) = C d u c ( t ) d t i(t)=C \frac{du_c(t)}{dt} i(t)=Cdtduc(t)
对两边同时进行拉氏变换时: I ( s ) = C ( s U c ( s ) − u c ( 0 ) ) I(s)=C(sU_c(s)-u_{c}(0)) I(s)=C(sUc(s)−uc(0))
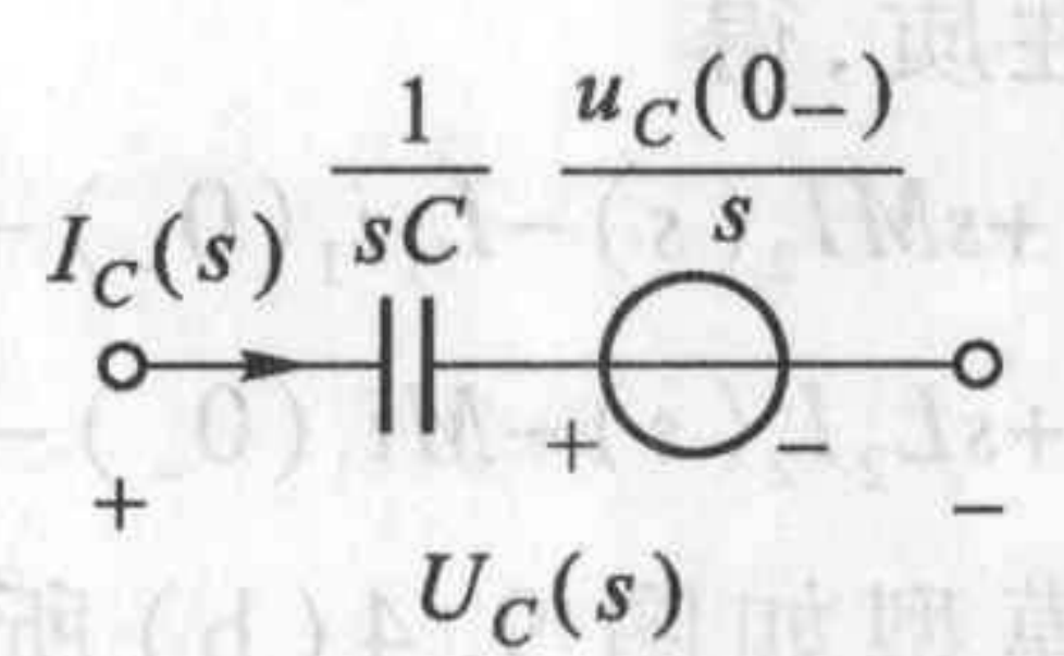
进行一下等效变换得到: U c ( s ) = I c ( s ) s C + u c ( 0 ) s U_{c}(s)=\frac{I_{c}(s)}{sC}+\frac{u_{c}(0)}{s} Uc(s)=sCIc(s)+suc(0)
其中 u c ( 0 ) u_{c}(0) uc(0)是电容在初始时刻的电压值,如果电感初始时刻有电压不能舍去,可以将其视作一个无初始电压的电感和一个电压源串联,如下图所示:
忽略初始电压或将其等效为电压源后,就可以得到电容两端的传递函数: U c ( s ) I ( s ) = 1 s C \frac{U_c(s)}{I(s)}=\frac{1}{sC} I(s)Uc(s)=sC1
2.电感传递函数

以 i L ( t ) i_L(t) iL(t)作为输入, u L ( t ) u_L(t) uL(t)作为输出,则有:
u L ( t ) = L d i L ( t ) d t u_L(t)=L\frac{di_L(t)}{dt} uL(t)=LdtdiL(t)
同样两边同时进行拉氏变换得到:
U L ( s ) = L ( s I L ( s ) − i L ( 0 ) ) U_L(s)=L(sI_L(s)-i_{L}(0)) UL(s)=L(sIL(s)−iL(0))
等效电路模型为:
此时忽略电感初始电流或将其等效为电压源后电感两端
传递函数为:
U L ( s ) I L ( s ) = s L \frac{U_L(s)}{I_L(s)}=sL IL(s)UL(s)=sL
本文来自互联网用户投稿,文章观点仅代表作者本人,不代表本站立场,不承担相关法律责任。如若转载,请注明出处。 如若内容造成侵权/违法违规/事实不符,请点击【内容举报】进行投诉反馈!
