《白话统计》学习笔记之卡方检验
1. 卡方检验
卡方检验是用途非常广的一种假设检验方法,它在分类资料统计推断中的应用,包括:两个率或两个构成比比较的卡方检验;多个率或多个构成比比较的卡方检验以及分类资料的相关分析等。
卡方检验就是统计样本的实际观测值与理论推断值之间的偏离程度,实际观测值与理论推断值之间的偏离程度就决定卡方值的大小,如果卡方值越大,二者偏差程度越大;反之,二者偏差越小;若两个值完全相等时,卡方值就为0,表明理论值完全符合。
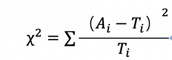
χ2的公式如下:

其中,Ai为实际频数,Ti为理论频数。卡方分布的特征与自由度有关,其自由度为(行数-1)*(列数-1)。对于两行两列的四格表资料,其自由度为1。自由度为1的卡方分布,当χ2值大于3.84时,右侧面积小于0.05,可以认为是小概率事件。
2. 似然比χ2、M-Hχ2、校正χ2与Fisher精确检验
2.1 似然比χ2
通常所说的χ2检验实际上是指Pearsonχ2。似然χ2是与Pearsonχ2齐名的一种检验方法,该检验的思想是先确定在无效假设H0为真的条件下,似然函数所能达到的最大值;再确定在H0不一定为真的条件下,似然函数所能达到的最大值。似然比χ2就是基于二者之比。其计算公式如下:

在大样本情况下,似然比χ2和Pearsonχ2的结果几乎是一致的,如果样本数较少,二者有差异。
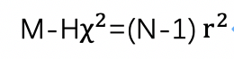
2.2 M-Hχ2
M-Hχ2检验的是行和列之间是否存在线性关系,其计算方式较为复杂:
![]()
其中,N为总例数,r2为Person相关系数的平方。
2.3 校正χ2
Yates校正
2.4 Fisher精确检验
3. 等级资料到底可不可以用卡方检验
如果只看这些等级资料是否有差异(作为无序变量来研究),则可以采用χ2检验,但是如果还想研究这些有序变量,那么最好用Wilcoxcon秩和检验。
4. 卡方检验的两两比较
和F分布的两两比较思想类似。
5. 分类变量的赋值是如何影响分析结果的
对于无序资料的分析,分类变量的赋值并不影响其分析结果。
对于有序资料的分析,等间距的赋值,其结果仍然相同。但如果间隔发生改变,则结果也会不同。
本文来自互联网用户投稿,文章观点仅代表作者本人,不代表本站立场,不承担相关法律责任。如若转载,请注明出处。 如若内容造成侵权/违法违规/事实不符,请点击【内容举报】进行投诉反馈!
