文本分类之卡方检验
文本分类之卡方检验
定义
卡方检验是以卡方(χ2)分布为基础的一种假设检验方法,属于非参数检验的范畴,主要是比较两个及两个以上样本率(构成比)以及两个分类变量的关联性分析。根本思想就是在于比较理论频数和实际频数的吻合程度或拟合优度问题。主要在分类数据资料统计推断中应用,如两个或多个率/构成比之间的比较以及分类资料的相关分析等。
常常先假设两个变量是独立的(“原假设”),然后观察实际值与理论值(这个理论值是指“如果两者确实独立”的情况下应该有的值)的偏差程度,如果偏差足够小,就认为误差是很自然的样本误差,是测量手段不够精确导致或者偶然发生的,两者是独立的,此时就接受原假设;如果偏差大到一定程度,使得这样的误差不太可能是偶然产生或者测量不精确所致,我们就认为两者实际上是相关的,即否定原假设,而接受备择假设。
χ2值表示观察值与理论值之问的偏离程度。计算这种偏离程度的基本思路如下。
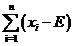
(1)假设理论值为E(这也是数学期望的符号哦),实际值为x,如果仅仅使用所有样本的观察值与理论值的差值x-E之和

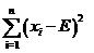
(2)当有多个观察值x1,x2,x3的时候,很可能x1-E,x2-E,x3-E的值有正有负,因而互相抵消,使得最终的结果看上好像偏差为0,但实际上每个都有偏差,此时很直接的想法便是使用方差代替均值,这样就解决了正负抵消的问题,即使用

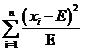
(3)这时又引来了新的问题,对于500的均值来说,相差5其实是很小的(相差1%),而对20的均值来说,5相当于25%的差异,这是使用方差也无法体现的。因此应该考虑改进上面的式子,让均值的大小不影响我们对差异程度的判断

(2)显然,残差可以表示某一个类别观察值和理论值的偏离程度,但如果将残差简单相加以表示各类别观察频数与期望频数的差别,则有一定的不足之处。因为残差有正有负,相加后会彼此抵消,总和仍然为0,为此可以将残差平方后求和。
(3)另一方面,残差大小是一个相对的概念,相对于期望频数为10时,期望频数为20的残差非常大,但相对于期望频数为1 000时20的残差就很小了。考虑到这一点,人们又将残差平方除以期望频数再求和,以估计观察频数与期望频数的差别。
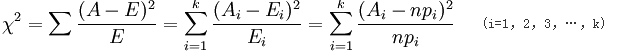
进行上述操作之后,就得到了常用的χ2统计量,由于它最初是由英国统计学家Karl Pearson在1900年首次提出的,因此也称之为Pearson χ2,其计算公式为

参考
[1][https://blog.csdn.net/qq_39303465/article/details/79223843]
[2]http://www.blogjava.net/zhenandaci/archive/2008/08/31/225966.html(https://blog.csdn.net/qq_39303465/article/details/79223843)
本文来自互联网用户投稿,文章观点仅代表作者本人,不代表本站立场,不承担相关法律责任。如若转载,请注明出处。 如若内容造成侵权/违法违规/事实不符,请点击【内容举报】进行投诉反馈!
