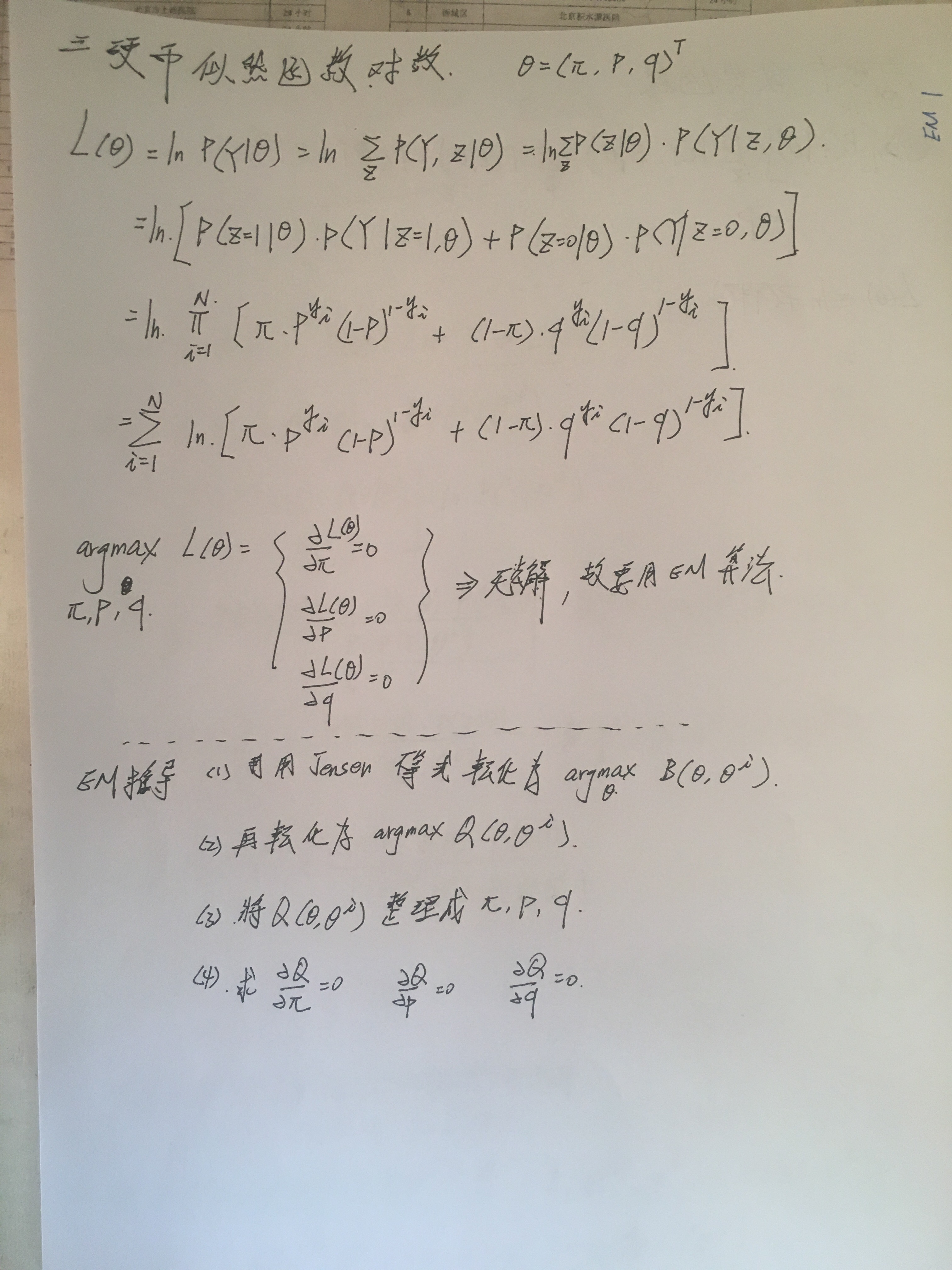
1. 因为有隐变量, 无法直接推导极大似然函数L(theta)

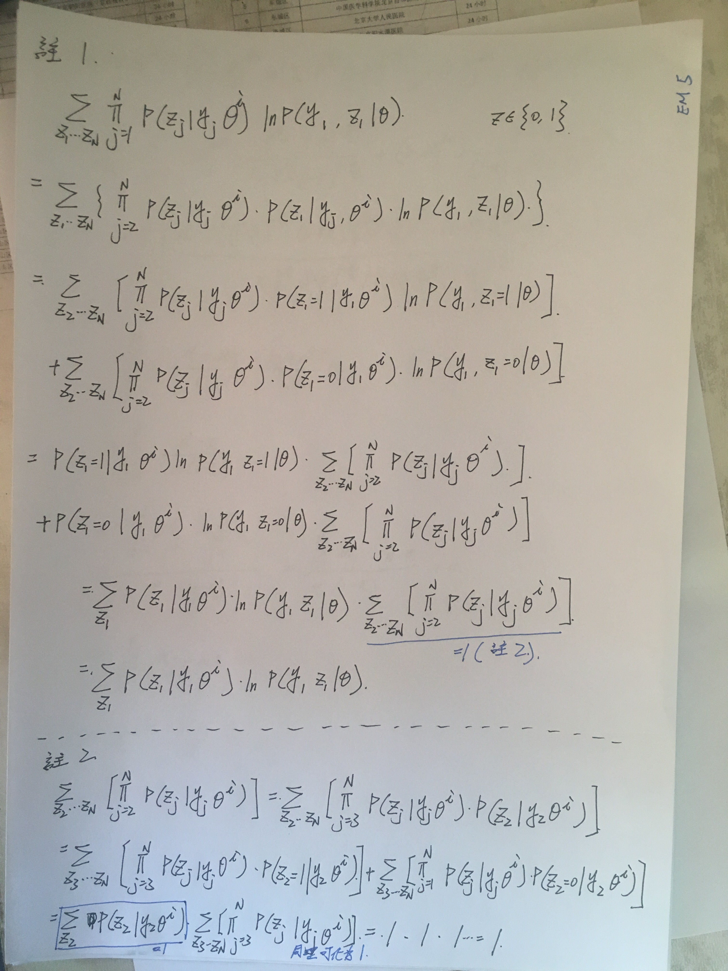
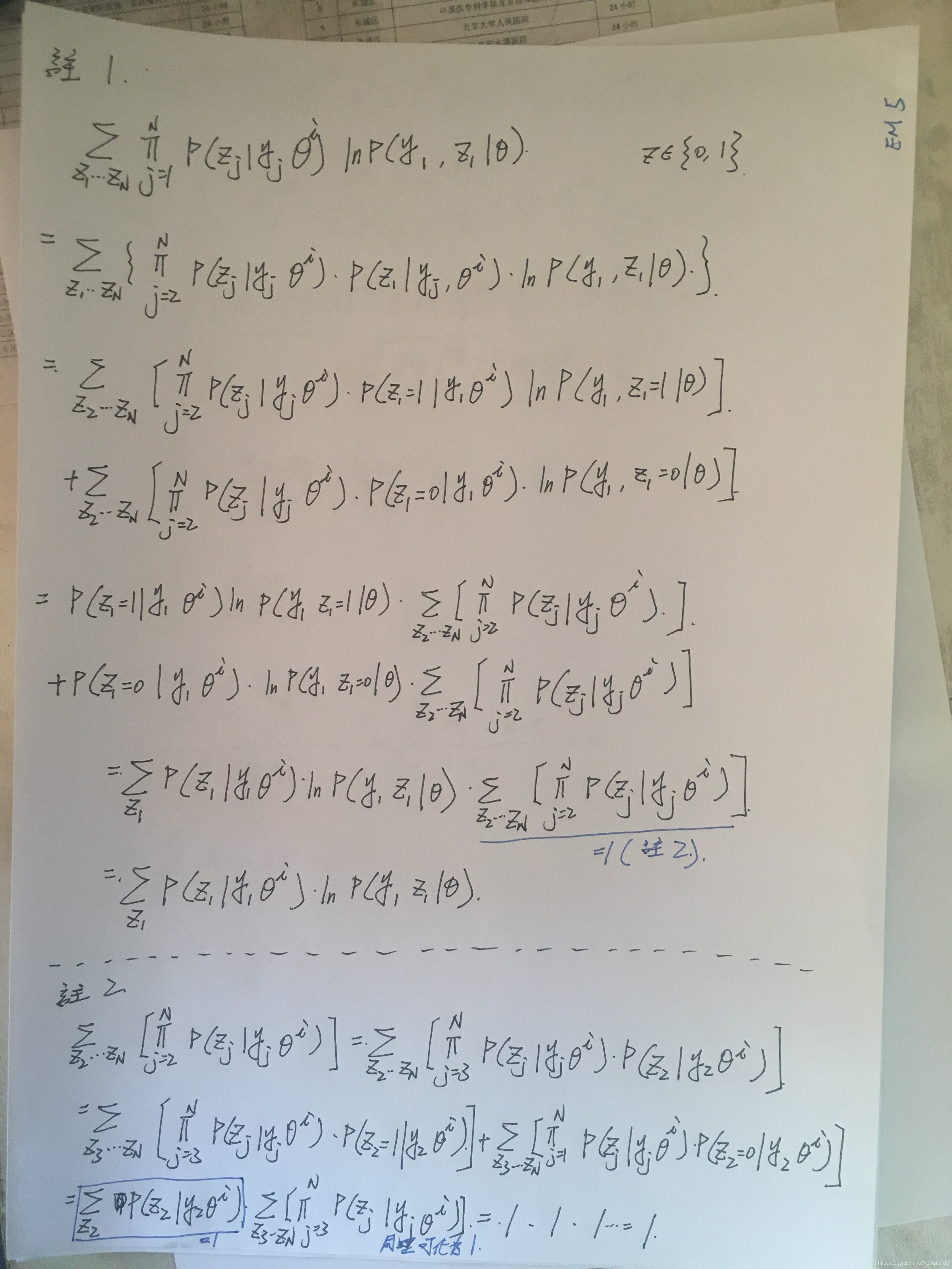
2. 利用琴生不等式推导B 函数, 将问题从极大化似然函数变成极大化 B函数

3. 将问题从极大化B函数变成极大化 Q函数

4. 将Q函数整理成pi, p, q的函数


5. 对pi偏微分,取得更新后的pi

6. 对p偏微分,取得更新后的p

7. 对q偏微分,取得更新后的q

8. 整理程序步骤

本文来自互联网用户投稿,文章观点仅代表作者本人,不代表本站立场,不承担相关法律责任。如若转载,请注明出处。 如若内容造成侵权/违法违规/事实不符,请点击【内容举报】进行投诉反馈!