最大三角形面积 鞋带公式 海伦公式
给定包含多个点的集合,从其中取三个点组成三角形,返回能组成的最大三角形的面积。
示例:
输入: points = [[0,0],[0,1],[1,0],[0,2],[2,0]]
输出: 2
解释:
这五个点如下图所示。组成的橙色三角形是最大的,面积为2。注意:3 <= points.length <= 50.不存在重复的点。-50 <= points[i][j] <= 50.结果误差值在 10^-6 以内都认为是正确答案。
思路:
-
- 鞋带公式,用于计算任意多边形的面积,可用于计算三角形的面积;
-
- 海伦公式,从三个顶点得到三边长,并使用海伦公司计算出面积;
- 3.三角形面积公式
S = 1/2 * a * b * sin(C),首先得到两边的长度,通过叉积算出夹角的正弦值,并使用公式计算出面积。
主要记录前两种实现方式。
1.鞋带公式:
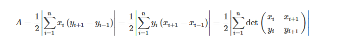
比如已知 ΔABC 三个顶点的坐标 A:(x1,y1)、 B:(x2,y2)、 C:(x3,y3),对应的矩阵是这样:
计算面积先计算中间的矩阵:
$ a=(x1×y2)+(x2×y3)+(x3×y1) $
再从最右侧矩阵计算:
$ b=(y1×x2)+(y2×x3)+(y3×x1) $
则三角形面积为:
$ SΔABC=12|a−b|=12|((x1×y2)+(x2×y3)+(x3×y1))−((y1×x2)+(y2×x3)+(y3×x1))| $
抽离出来即有:
公式中约定: 当下标大于 n 时, xn+1=x1, yn+1=y1。在此就不证明了。
鞋带公式-实现代码
var largestTriangleArea1 = function (points) {var maxs = 0;for (var i = 0; i < points.length; i++) {for (var j = i+1; j < points.length; j++) {for (var s = j+1; s < points.length; s++) {maxs = Math.max(maxs,0.5*Math.abs(points[i][0]*points[j][1]+points[j][0]*points[s][1]+points[s][0]*points[i][1]-points[i][1]*points[j][0]-points[j][1]*points[s][0]-points[s][1]*points[i][0]))}}}return maxs;
};
2.海伦公式
不同的面积公式对应不同的分割方法。 $ S = 1/2hb $
对应的是割补矩形法,而海伦公式对应如下
var largestTriangleArea = function (points) {var maxs = 0;for (var i = 0; i < points.length; i++) {for (var j = i+1; j < points.length; j++) {for (var s = j+1; s < points.length; s++) {console.log(points[j][0],points[i][0])var a = Math.sqrt(Math.pow( Math.abs(points[j][0] - points[i][0]),2)+Math.pow( Math.abs(points[j][1] - points[i][1]),2));var b = Math.sqrt(Math.pow( Math.abs(points[s][0] - points[j][0]),2)+Math.pow( Math.abs(points[s][1] - points[j][1]),2));var c = Math.sqrt(Math.pow( Math.abs(points[i][0] - points[s][0]),2)+Math.pow( Math.abs(points[i][1] - points[s][1]),2));var l = (a+b+c)*0.5;maxs = Math.max(maxs,Math.sqrt(l*(l-a)*(l-b)*(l-c)))}}}return maxs;
};
tips:该方式还存在精度问题。
参考文档:
1.海伦公式的几何意义是什么?
2.【Green公式】Hunter’s Apprentice(判断多边形为顺时针或逆时针)–鞋带公式
3.求简单多边形面积时非常有用的“鞋带公式”
本文来自互联网用户投稿,文章观点仅代表作者本人,不代表本站立场,不承担相关法律责任。如若转载,请注明出处。 如若内容造成侵权/违法违规/事实不符,请点击【内容举报】进行投诉反馈!
