两物体的相对速度公式_最全物理公式合集,高考这一份就够了!

3 、求
的合力的公式:

合力的方向与F1成a角:

注意:
(1)力的合成和分解都均遵从平行四边行法则。(2) 两个力的合力范围:
(3)合力大小可以大于分力、也可以小于分力、也可以等于分力。4、两个平衡条件:
( 1 )共点力作用下物体的平衡条件:静止或匀速直线运动的物体,所受合外力为零。
推论:
【1】非平行的三个力作用于物体而平衡,则这三个力一定共点。
【2】几个共点力作用于物体而平衡,其中任意几个力的合力与剩余几个力(一个力)的合力一定等值反向(2)有固定转动轴物体的平衡条件:力矩代数和为零。
力矩:M=FL (L为力臂,是转动轴到力的作用线的垂直距离)
5、摩擦力的公式:
(1)滑动摩擦力: 
说明 :
a、N为接触面间的弹力,可以大于G;也可以等于G;也可以小于G
b、
为滑动摩擦系数,只与接触面材料和粗糙程度有关,与接触面积大小、接触面相对运动快慢以及正压力N无关。(2)静摩擦力:由物体的平衡条件或牛顿第二定律求解,与正压力无关。大小范围:
说明:
a 、摩擦力可以与运动方向相同,也可以与运动方向相反,还可以与运动方向成一定夹角。b、摩擦力可以作正功,也可以作负功,还可以不作功。c、摩擦力的方向与物体间相对运动的方向或相对运动趋势的方向相反。d、静止的物体可以受滑动摩擦力的作用,运动的物体可以受静摩擦力的作用。6、浮力:
(注意单位)7、 万有引力:
(1) 适用条件
(2)G为万有引力恒量
(3)在天体上的应用:(M一天体质量 R一天体半径 g一天体表面重力加速度)
a. 万有引力=向心力
b. 在地球表面附近,重力=万有引力 
c. 第一宇宙速度

8、库仑力:
(适用条件)
(F 与电场强度的方向可以相同,也可以相反) 10、磁场力:
(1)洛仑兹力:磁场对运动电荷的作用力。
公式:
方向一左手定则
(2)安培力 :磁场对电流的作用力。
公式:
方向一左手定则

理解:
(1)矢量性
(2)瞬时性
(3)独立性
(4) 同体性
(5)同系性
(6)同单位制
12、匀变速直线运动:
基本规律:
几个重要推论:
(1)
(匀加速直线运动:a为正值;匀减速直线运动:a为正值)
(2) A B段中间时刻的即时速度:

(3)AB段位移中点的即时速度:


(5)初速无论是否为零,匀变速直线运动的质点,在连续相邻的相等的时间间隔内的位移之差为一常数:
(a一匀变速直线运动的加速度,T一每个时间间隔的时间)
13、竖直上抛运动: 上升过程是匀减速直线运动,下落过程是匀加速直线运动。全过程是初速度为
、加速度为-g的匀减速直线运动。
(1)上升最大高度:
(2) 上升的时间:
(3)上升、下落经过同一位置时的加速度相同,而速度等值反向
(4)上升、下落经过同一段位移的时间相等。
(5)从抛出到落回原位置的时间:
(6) 适用全过程的公式:
14、匀速圆周运动公式
线速度:
角速度:
向心加速度:
向心力:
注意:
(1)匀速圆周运动的物体的向心力就是物体所受的合外力,总是指向圆心。
(2)卫星绕地球、行星绕太阳作匀速圆周运动的向心力由万有引力提供。
(3)氢原子核外电子绕原子核作匀速圆周运动的向心力由原子核对核外电子的库仑力提供。15、直线运动公式:匀速直线运动和初速度为零的匀加速直线运动的合运动。

(适用于恒力的功的计算)(1)理解正功、零功、负功
(2) 功是能量转化的量度
重力的功------量度------重力势能的变化电场力的功-----量度------电势能的变化分子力的功-----量度------分子势能的变化 合外力的功------量度-------动能的变化17、动能和势能:
动能:
重力势能:
(与零势能面的选择有关)
18、动能定理:外力对物体所做的总功等于物体动能的变化(增量)。
公式:
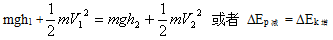
19、 机械能守恒定律:机械能 = 动能+重力势能+弹性势能
条件:系统只有内部的重力或弹力做功.
公式:
20、 功率:
(在t时间内力对物体做功的平均功率)
(F为牵引力,不是合外力;V为即时速度时,P为即时功率;V为平均速度时,P为平均功率;P一定时,F与V成正比)
21、简谐振动:

22、 波长、波速、频率的关系:
(适用于一切波)
23、直流电路
(1)电流强度的定义:
(2)电阻定律:( 只与导体材料性质和温度有关,与导体横截面积和长度无关)
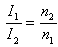
24、电阻串联、并联:


25、欧姆定律:
(1)部分电路欧姆定律:
(2)

26、电功和电功率:


27、电池组的串联每节电池电动势为
内阻为
,n节电池串联时
28、伏安法测电阻:
29、电场和磁场
(1)库仑定律:
,其中,Q1、Q2表示两个点电荷的电量,r表示它们间的距离,k叫做静电力常量,
。(适用条件:真空中两个静止点电荷)(2)电场强度:
a. 定义是:
F为检验电荷在电场中某点所受电场力,q为检验电荷。单位牛/库伦(N/C),方向,与正电荷所受电场力方向相同。描述电场具有力的性质。
注意:E与q和F均无关,只决定于电场本身的性质。(适用条件:普遍适用)
b. 点电荷场强公式:
,Q为场源电荷(该电场就是由Q激发的),r为场点到Q距离。(适用条件:真空中静止点电荷)c. 匀强电场中场强和电势差的关系式:
其中,U为匀强电场中两点间的电势差,d为这两点在平行电场线方向上的距离。
30、电势差:

31、电场力的功:
32、电势:

33、电容:
(1)定义式:


34、磁感应强度:
描述磁场的强弱和方向,与F、I、L无关。当I // L时,F=0,但B≠0,方向:垂直于I、L所在的平面。
35、带电粒子在匀强磁场中做匀速圆周运动:
轨迹半径:
36、磁通量:
(条件,B⊥S)单位:韦伯(Wb)37、法拉第电磁感应定律:
(条件,B、L、v两两垂直)38、正弦交流电:(从中性面开始计时)
(1)电动势瞬时值:
,其中,最大值
(2)电流瞬时值:
,其中,最大值
(条件,纯电阻电路)
,其中,最大值
,
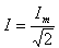
是该段电路的电阻。(4)有效值和最大值的关系:
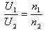
(只适用于正弦交流电)39、理想变压器:
(注意:U1、U2为线圈两端电压)
(条件:原、副线圈各一个)
40、电磁振荡:周期 
如果支持小编,就在文末点亮“在看”
吧
感谢您的阅读
往日精彩高中物理电学实验知识点总结高中物理的常用方法、题型特点及应用注意点!建议收藏!高中物理框架图,让零碎知识“串联”起来!超实用▐ 来源:本文综合来源于网络,如有侵权,请及时联系删除!
▐ 标签:高考物理 备战高考
▐ 更多内容请关注微信公众号平台:高考物理ID:gkwl100

戳
本文来自互联网用户投稿,文章观点仅代表作者本人,不代表本站立场,不承担相关法律责任。如若转载,请注明出处。 如若内容造成侵权/违法违规/事实不符,请点击【内容举报】进行投诉反馈!
