【翻译】一种减小运动伪影的新方法基于AS-LMS自适应滤波器的PPG信号
一种减小运动伪影的新方法基于AS-LMS自适应滤波器的PPG信号
A Novel Approach for Motion Artifact Reduction in PPG Signals Based on AS-LMS Adaptive Filter
摘要
脉冲血氧计的性能受光体积描记(PPG)信号中的运动伪影(MA)的高度影响。本文提出了一种简单有效的基于自适应步长最小均方(AS-LMS)自适应滤波器的方法来降低PPG信号的误差。本文提出的方法是对我们之前关于有效使用自适应滤波器减少PPG信号中MA的工作的扩展。该方法的新颖之处在于,用于自适应滤波过程的合成噪声参考信号(表示MA噪声)是由MA损坏的PPG信号本身内部产生的,而不是使用任何额外的硬件(如加速度计或源探测器对)来获取噪声参考信号。因此,将产生的噪声参考信号应用到AS-LMS自适应滤波器中进行伪影去除。实验结果证明了该方案的有效性,还通过收敛性和相关性分析,该方法的优点得到了清晰的证明,从而使其最适合使用单对源和检测器的PPG传感器头的脉搏血氧仪,这不需要任何额外的用于捕获噪声参考信号的硬件。除了动脉氧饱和度(SpO2)估计外,伪影减少方法还有助于伪影减少PPG的波形轮廓分析,并对常规参数进行评估以评估动脉刚度。
简介
然而,由于受试者在获取数据时自愿或非自愿的运动,PPG通常会被运动伪影(MA)破坏。由于在PPG中搏动成分非常小(占信号总振幅的0.1%),即使是患者最轻微的运动也会导致MA,导致对SpO2的估计不准确。事实上,自脉搏血氧仪发明以来,通过降低PPG信号中的MA来可靠地估计SpO2一直是一个具有挑战性的问题。适当处理PPG信号可以降低MA对SpO2的影响。通过显示几个SpO2读数的平均值,可以在一定程度上降低该值。人们已经做了很多尝试来减少MAs对受损PPG信号的影响。移动平均法通常用于减小MA[2],[5],它只对有限范围的伪影有效。当MA和PPG信号的频谱明显重叠时,会产生带内噪声。自适应滤波器可以有效地处理带内噪声[6][9],它需要一个与伪影强相关但与信号不相关或与信号强相关但与伪影不相关的参考信号。在大多数情况下,合适的参考信号(代表MA)是通过使用额外的硬件获得的。例如,参考信号从附加传感器[6],[7]或通过使用附加反射型光电传感器[8]获得。使用从PPG信号的无伪部分[9]估计的合成参考信号也被报道用于减少MA。在Masimo SET[10]中,静脉血容量变化被认为是运动过程中噪声的一个重要因素,因此,从伪物诱导的PPG信号本身提取静脉噪声参考信号,不需要额外的硬件。然后使用自适应噪声消除从PPG信号中去除添加的伪影。一种使用多速率滤波器组和匹配滤波器[11]的信号处理技术的性能优于移动平均方法。生物系统的动态特性导致大多数生物信号是非平稳的,并且随着时间的推移其性质会发生实质性的变化。基于PPG信号的这种非平稳特性,将小波变换[12]和平滑伪Wigner Ville分布[13]等时频方法应用于PPG信号,与传统方法相比有显著改善。提出了一种基于模型的伪影减少方法[14],该方法基于物理伪影模型反演的非线性光学接收机,并利用额外的源探测器对实现了[15],产生了三波长探头,以减少MA。通过利用PPG和MA信号之间的独立性,也证明了MA通过使用独立分量分析(ICA)来降低。虽然对PPG信号的时间导数进行三阶ICA可以得到更好的伪影抑制[16],但与称为块交错低通滤波的预处理相结合的ICA比单独进行ICA[17]效果更好。对比研究小波变换和自适应滤波技术在恢复伪影减少的PPG信号[18]、[19]用于估计心率(HR)和脉搏传递时间的有效性,发现两种方法都对PPG信号引入了相移。基于奇异值分解(SVD)[20]、逐周期傅里叶级数分析[21]和高阶统计量[22]的MA降低新处理方法提取了干净无伪的PPG信号,保留了所需的所有基本形态特征。
其他降低PPG信号MA的方法包括自适应滤波和改进机械设计和传感器配置[28]。其中,基于MEMS加速度计[29]、[30]的基于加速度计参考自适应降噪的运动可穿戴生物传感器,激发了研究者对传感器设计改进方向的思考。然而,围绕自适应滤波器开发的MA减少算法要求参考信号要么与伪影强相关但与信号不相关,要么与信号强相关但与伪影不相关。因此,这些方法总是依赖于额外的硬件,如加速度计[29],[30]或源探测器对[15]来获取噪声参考信号,从而产生一个三波长探头,而不是商业脉冲血氧计(CPO)的两波长探头。使用专用硬件获取噪声参考,例如加速度计,实际上可以有效降低PPG信号[30]的噪声。然而,本文的工作主要是实现一种自适应滤波算法来降低MA,利用现有的CPO双波长探头,而不寻找任何额外的硬件。
这种技术是基于我们之前关于有效使用自适应滤波器来降低PPG信号[23][25]中MA的工作的扩展。该技术的新颖之处在于,自适应滤波过程的合成噪声参考信号(表示MA噪声)是由MA损坏的PPG信号本身内部产生的,而不是使用任何额外的硬件,如加速度计或额外的源探测器对来获取噪声参考信号。在[25],1中,合成噪声参考是使用众所周知的快速傅里叶变换(FFT)技术生成的。在本文中,我们提出了另外两种方法,即SVD法和ICA法来生成MA噪声参考信号。随后,利用随机参数计算测试上述方法产生的噪声基准与MA噪声分量的相关性。根据随机偏差选取最合适的噪声参考信号,并将其应用于所提出的自适应步长最小均方(AS-LMS)自适应滤波器中。通过对比基于时变步长LMS (TVS-LMS)和恒定步长LMS (CS-LMS)的自适应算法和基于时域(TD)和频域(FD)分析的PPG信号SpO2,研究了该方案的性能。
运动伪影减少
由MA ( 0.1 H z 0.1 Hz 0.1Hz或更多)引起的噪声频谱有机会与有用的PPG信号( 0.5 ∼ 4.0 H z 0.5\sim 4.0 Hz 0.5∼4.0Hz)重叠,并导致带内噪声。自适应滤波器是通过一些特定的自适应算法自调整滤波系数来消除带内噪声的。除了合适的自适应算法外,参考信号在自适应滤波器中也起着至关重要的作用。事实上,自适应滤波器需要一个参考信号 [ N R ( n ) ] [N_{R}(n)] [NR(n)],该参考信号要么与伪影强相关,但与信号不相关,要么与信号强相关,但与伪影不相关。所提出的MA降低方案显示了有效的合成噪声参考信号产生部分和ASLMS自适应滤波部分,如图1所示的方框图所示。

提出的MA减少方案的框图。噪声基准生成块取 M A [ N ( n ) ] MA[N(n)] MA[N(n)]损坏的PPG信号 [ ( S n ) + N ( N ) ] [(S_{n}) + N(N)] [(Sn)+N(N)],给出代表MA的最佳可能噪声基准 [ N R ( N ) ] [N_{R}(N)] [NR(N)]。该自适应算法通过 N R ( n ) N_{R}(n) NR(n)和 ( S n ) + N ( n ) (Sn) + N(n) (Sn)+N(n)运算从MA中恢复PPG。最后,采用TD和FD分析方法计算了SpO2。
A.合成噪声参考信号 [ N R ( n ) ] [N_{R}(n)] [NR(n)]产生
这构成了该方法的新部分。在这里,内部生成了一个合成 N R ( n ) N_{R}(n) NR(n)用于所提出的自适应滤波技术,而不需要任何额外的硬件,如加速度计或额外的源探测器对来获取 N R ( n ) N_{R}(n) NR(n),就像通常所做的。
N R ( n ) N_{R}(n) NR(n)由受损的PPG信号分别通过FFT、ICA和SVD三种不同的方法生成,如下所示。
FFT方法
下面介绍使用FFT方法[25]产生噪声参考信号的步骤。
-
计算了由各种频率成分组成的MA损坏PPG信号的频谱,即搏动PPG心脏部分( 0.5 − 4 H z 0.5-4 Hz 0.5−4Hz)、呼吸活动( 0.2 − 0.35 H z 0.2-0.35 Hz 0.2−0.35Hz)和MA噪声成分( 0.1 H z 0.1 Hz 0.1Hz或更多)信息。
-
通过将MA损坏的PPG信号频谱中心脏和呼吸频率分量的系数设为零,得到了与噪声对应的修正频谱。
-
通过对修正后的噪声频谱进行傅里叶反变换,产生了一个合成的噪声参考信号,即MA。
奇异值分解法
奇异值分解法是线性代数的一个重要工具。 一旦分解,给定数据矩阵的奇异值包含了数据[20]中关于噪声水平的信息。使用SVD方法生成噪声参考信号的步骤如下所述。
- 将奇异值分解(SVD)应用于记录信号的对齐PPG数据矩阵,计算前两个奇异值的比值,称为奇异值比(SVR)
- 在每种情况下,信号的长度被认为是心率期望范围的一个周期。然后根据周期绘制SVR值,得到称为信号SVR频谱的图
- 从SVR频谱出发,选取SVR最大的周期的特定值作为PPG信号的周期。
- 现在,数据矩阵根据SVR频谱计算的周期性进行重新排列。
- 对重新组合后的PPG数据矩阵再次进行奇异值分解(SVD),将代表脉搏分量和呼吸分量的前两个奇异值分别置零。
- 噪声参考信号是由重新组合的PPG数据矩阵保留的奇异值产生的。
ICA方法
ICA是一种非常强大的信号处理技术[17],它将一组随机变量表示为统计上独立分量变量的线性组合。接下来描述使用ICA方法生成噪声参考信号所涉及的步骤。
- 预处理包括截止频率为 10 H z 10 Hz 10Hz的低通滤波,以消除记录PPG信号中的高频噪声成分。
- 然后对预处理后的红色和红外PPG信号进行下采样,直到它消除了PPG信号的搏动成分,同时保持呼吸和MA成分的完整。
- 采用独立分量分析(ICA)算法对线性混合呼吸信号和混合呼吸信号进行分离,其中混合呼吸信号可作为生成的噪声参考信号。
MA主要是由于受检者[31]的随意或不随意振动,因此动脉血液的心脏同步搏动成分会被伪影淹没。因此,在大多数情况下,PPG的许多有用的搏动成分被动脉血液的随机波动破坏,导致PPG信号的形态改变。因此,歪斜和峰度等随机性度量可以作为MA检测的重要特征。
根据定义,偏度是对概率分布对称性(或不对称性)的一种衡量,而峰度则表示相对于正态分布,一个分布有一个较重的尾部和峰值,或一个较轻的尾部和平坦度。它从平均值中捕捉数据的随机变化。随机变量x的偏度和峰度由
偏 度 : C 3 x ( 0 , 0 ) = μ 3 σ 3 / 2 ( 1 ) 峰 度 : C 4 x ( 0 , 0 ) = μ 4 σ 4 − 3 ( 2 ) 偏度: C_{3x}(0,0)=\frac{\mu_{3}}{\sigma^{3}/2}\quad (1)\\ 峰度: C_{4x}(0,0)=\frac{\mu_{4}}{\sigma^{4}}-3\quad (2) 偏度:C3x(0,0)=σ3/2μ3(1)峰度:C4x(0,0)=σ4μ4−3(2)
其中 σ \sigma σ为标准差, μ 3 \mu_{3} μ3和 μ 4 \mu_{4} μ4分别为第三和第四中心矩。根据上述方法产生的信号的计算出的歪斜和峰度,选择合适的MA噪声参考进行自适应滤波。虽然用于选择生成的最佳合成噪声参考信号的准则(分别使用FFT、SVD和ICA方法)是产生斜度和峰度都最高的噪声参考信号的方法,但在第四节中也证明了,仅高峰度值就可以作为选择合成噪声参考信号的可靠措施。
B.应用AS-LMS技术进行MA还原
自适应滤波器的基本形式如图2(a)所示,其中方案寻找参考信号,这需要额外的硬件设施。本文提出的自适应滤波方案的结构如图2(b)所示,该方案使用现有的CPO双波长探头,而不寻找任何额外的硬件。LMS算法是目前最流行的一种算法[26],我们之前的工作[23][25]利用了它在CS-LMS和tv -LMS算法中对MA约简的作用。在本文中,我们提出了一种从ma损坏的信号中恢复无伪迹PPG的AS-LMS算法。下面详细介绍每种算法的滤波和权值更新方程。

图2所示。(a)基本自适应滤波器框图。(b)提出的方案的MA降低配置,其中噪声参考信号 N R ( n ) N_{R}(n) NR(n)由MA损坏的PPG [ S ( n ) + N ( n ) ] [S(n) + N(n)] [S(n)+N(n)]产生,并应用于基于AS-LMS算法的自适应滤波器,该算法依次估计噪声 N ^ ( n ) \hat{N}(n) N^(n)。
c .噪声模型
在学术界,基于自适应滤波的有效算法已经被开发出来,以解决MA降低问题。从研究人员的观点可以清楚地看出,自适应滤波器可以有效地用于任何使用不同信号失真模型[28][30]设计的PPG系统。自适应滤波器可以有效地降低随机或周期性的多值。在这种自适应滤波的情况下,假设加性失真模型[29],[30],其中运动损坏的PPG信号被认为是干净的(原始)PPG和MA的混合。此外,该伪迹被假定为与有用的PPG信号高度不相关。
CS-LMS算法
CS-LMS算法利用梯度的瞬时估计来搜索误差面的最小值,可以用以下三个方程来描述:
y ( n ) = w T ( n ) u ( n ) : 滤 波 器 输 出 ( 3 ) e ( n ) = d ( n ) − y ( n ) : 错 误 信 息 ( 4 ) w ( n + 1 ) = w ( n ) + μ e ( n ) u ( n ) : 权 重 向 量 更 新 ( 5 ) y(n) =w^{T}(n)u(n) : 滤波器输出\quad(3)\\ e(n) =d(n) − y(n) : 错误信息\quad(4)\\ w(n + 1) =w(n) + μe(n)u(n) : 权重向量更新\quad(5) y(n)=wT(n)u(n):滤波器输出(3)e(n)=d(n)−y(n):错误信息(4)w(n+1)=w(n)+μe(n)u(n):权重向量更新(5)
式中, u ( n ) u(n) u(n)为滤波器输入, e ( n ) e(n) e(n)为自适应滤波器产生的误差, d ( n ) d(n) d(n)为滤波器的期望输出, μ μ μ为权值向量更新所用的步长。
TVS-LMS算法
在简单CS- LMS算法中,参数μ的选择对算法的稳定性和收敛速度至关重要。为了改善基于LMS的自适应滤波器的特性,可以采用TV-LMS算法。完整的算法可以用以下公式来描述:
y ( n ) = w T ( n ) u ( n ) : 滤 波 器 输 出 ( 6 ) e ( n ) = d ( n ) − y ( n ) : 错 误 信 息 ( 7 ) w ( n + 1 ) = w ( n ) + μ n e ( n ) u ( n ) : 权 重 向 量 更 新 ( 8 ) μ n = α n × μ 0 : T V S ( 9 ) α n = C 1 / ( 1 + a n b ) : 衰 减 系 数 ( 10 ) y(n) = w^{T} (n)u(n) : 滤波器输出\quad(6)\\ e(n) = d(n) − y(n) : 错误信息\quad(7)\\ w(n + 1) = w(n) + μ_{n}e(n)u(n) : 权重向量更新\quad(8)\\ μn = α_{n} × μ_{0} : TVS\quad(9)\\ αn = C^{1/(1+a^{n}b)} : 衰减系数\quad(10) y(n)=wT(n)u(n):滤波器输出(6)e(n)=d(n)−y(n):错误信息(7)w(n+1)=w(n)+μne(n)u(n):权重向量更新(8)μn=αn×μ0:TVS(9)αn=C1/(1+anb):衰减系数(10)
其中 C , a , b C,a,b C,a,b为正常数,决定 α n α_{n} αn的大小和衰减速率。因此, C C C必须是大于 1 1 1的正数,当 C = 1 C = 1 C=1时,
α n = 1 α_{n} = 1 αn=1,新算法与传统的LMS算法相同, μ 0 μ_{0} μ0为初始步长。
AS-LMS算法
在非平稳环境中,最小代价函数( J m i n J_{min} Jmin)为时变形式,步长控制对估计的可变性和算法收敛时间起着重要作用。此外,由于LMS算法中存在梯度噪声,抽头权向量在误差性能的最小点附近遵循布朗运动,而不是终止于韦纳解。ASLMS算法类似于CS-LMS算法;在三个LMS方程(3)(5)的集合中加入第四个方程,自适应更新步长参数
μ ( n + 1 ) = μ ( n ) + ρ e ( n ) γ H ( n ) u ( n ) ( 11 ) μ(n + 1) = μ(n) + ρe(n)γ^{H}(n)u(n) \quad(11) μ(n+1)=μ(n)+ρe(n)γH(n)u(n)(11)
其中 γ H γ^{H} γH是梯度向量,定义为一个样本(迭代)的权向量对同一样本的步长参数的偏导数
γ ( n ) = ∂ w ( n ) / ∂ μ ( n ) ( 12 ) γ(n) = ∂w(n)/∂μ(n)\quad(12) γ(n)=∂w(n)/∂μ(n)(12)
ρ是一个很小的正常数,用于控制步长参数的更新。权值更新机制如图3所示。

图3所示。aslms自适应滤波器中的权值更新机制。
引入梯度向量后,通过更新步长参数,降低每次迭代的误差估计,在收敛时间上提高了跟踪性能。
根据图2(b)所示的自适应滤波器框图,通过使用任意LMS自适应算法对生成的合成噪声参考信号数据和ma损坏的PPG信号信息进行有效处理,可以得到ma恢复的PPG信号。实现该方法所需的方程如下:
S ^ ( n ) = S ( n ) + N ( n ) − N ^ ( n ) ( 13 ) N ^ ( n ) = ∑ i = 0 N w i N R ( n − i ) ( 14 ) w i ( n + 1 ) = w i ( n ) + μ n S ( n ) N R ( n − i ) ( 15 ) \hat{S}(n) =S(n) + N(n) − \hat{N}(n) \quad(13)\\ \hat{N}(n)=\sum_{i=0}^{N}w_{i}N_{R}(n-i)\quad (14)\\ w_{i}(n + 1) =w_{i}(n) + μ_{n}S(n)N_{R}(n − i)\quad (15) S^(n)=S(n)+N(n)−N^(n)(13)N^(n)=i=0∑NwiNR(n−i)(14)wi(n+1)=wi(n)+μnS(n)NR(n−i)(15)
其中 i : 0 , 1 , 2 , … L i: 0,1,2,…L i:0,1,2,…L, L L L过滤器阶数
S ( n ) + N ( n ) S(n)+N(n) S(n)+N(n),MA污染的PPG信号
S ^ ( n ) = e ( n ) \hat{S}(n)=e(n) S^(n)=e(n),MA恢复的PPG信号
N ^ ( n ) \hat{N}(n) N^(n),估计的噪声参考信号
N R ( n ) N_{R}(n) NR(n),合成噪声参考信号。
数据采集

结果

手指垂直运动

手指弯曲运动

手指水平运动
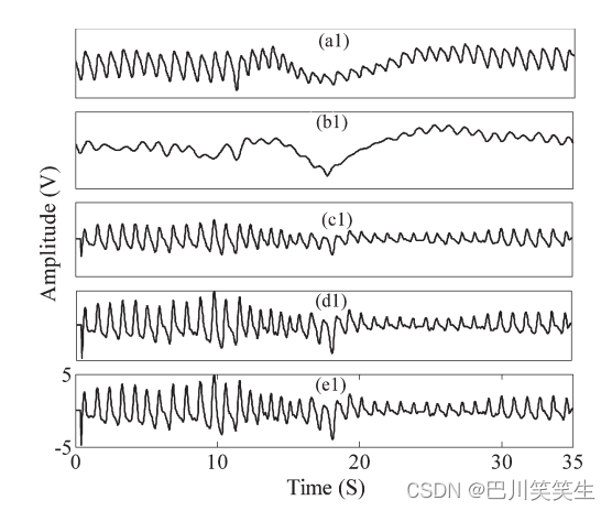
(a1) MA污染PPG
(b1)有效的合成噪声参考信号
(c1) MA恢复PPG采用CS-LMS
(d1) MA恢复PPG采用TV-LMS
(e1) MA恢复PPG采用AS-LMS
结论
在本文中,我们提出了一种基于自适应滤波器的简单而有效的滤波方法,以减少损坏的PPG信号中的MA。一般来说,使用自适应滤波器开发的MA降低方法总是依赖于额外的硬件来获取噪声参考信号。该方法的新颖之处在于,一个合成的噪声参考信号(代表MA)是由损坏的PPG本身产生的,用于自适应滤波,而不需要任何额外的硬件。在应用于自适应滤波器之前,为了验证产生的噪声参考信号,分别使用FFT、ICA和SVD三种不同的方法产生噪声参考信号,并测试它们与MA噪声分量的相关性。虽然选择产生的最佳合成噪声参考信号的标准(使用FFT、SVD和ICA方法)是产生偏度和峰度均最高的噪声参考信号的方法,但仅高峰度值就可以作为选择合成噪声参考信号的可靠措施。与tv - lms和CS-LMS技术相比,AS-LMS技术具有快速收敛的特点,不仅可以恢复PPG周期的峰间值,而且可以有效降低PPG信号中的MAs。对经常遇到运动的记录的PPG信号的测试结果证明了所提出的滤波方法在可靠和准确地估计SpO2值方面的有效性,从而使该方法最适合目前使用现有的双波长传感器探头而不需要任何额外硬件的CPOs。除SpO2估计外,对人工合成的PPG进行波形轮廓分析,并对常规参数进行评估,以评估动脉刚度。
本文来自互联网用户投稿,文章观点仅代表作者本人,不代表本站立场,不承担相关法律责任。如若转载,请注明出处。 如若内容造成侵权/违法违规/事实不符,请点击【内容举报】进行投诉反馈!
