MATH-现代-行列式
克拉默法则
-
如果一个方程组的系数行列式不等于零

-
则方程组有唯一一组解

D是系数矩阵

Di是用方程右边的直组成的列替换系数矩阵的第i列得到的矩阵
推论1: 如果齐次方程组的系数矩阵行列式不为零,则该行列式只有0解
推论2: 如果齐次方程组有非零解,系数矩阵行列式一定等于零
特殊行列式
-
主对角线上下三角矩阵-等于主对角线元素的积
2. 主对角线:从左上到右下 -
副对角线矩阵-等于副对角线元素的积,正负取决于(交换次数)的奇偶行

-
拉普拉斯展开式

-
范德门行列式

从右往左,从下往上依次减一遍
方阵的行列式的性质
- 转置矩阵行列式不变
- |kA|= kn|A|,矩阵的数乘的行列式等于该数的n次方乘以该矩阵的行列式
3. 矩阵乘积的行列式=行列式的乘积
4. 逆矩阵的行列式等于矩阵的行列式的倒数
5. |A| = |A|的n-1次方*
6. 矩阵特征值的乘积等于矩阵行列式的值 - 相似矩阵行列式相同,相似矩阵加上k倍的单位矩阵的行列式也相同
余子式和代数余子式
- n阶行列式=任意一行的元素和对应的代数余子式的乘积之和

- 任意一行或者一列和不同于它的一行或列的代数余子式的乘积位0
- 根据以上两个性质可以推出,AA* = |A|E,只有对应的元素和余子式的乘积=|A|,其他都是0

余子式是去除该元素剩下的行列式,代数余子式有一个系数,二者可以通过该系数转化
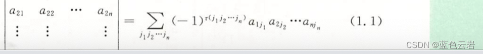
行列式完全展开式

本文来自互联网用户投稿,文章观点仅代表作者本人,不代表本站立场,不承担相关法律责任。如若转载,请注明出处。 如若内容造成侵权/违法违规/事实不符,请点击【内容举报】进行投诉反馈!
