矩阵论(五)——矩阵分析
矩阵论(五)——矩阵分析
- 1. 向量范数
- 2. 矩阵范数
- 3. 向量序列与矩阵序列的极限
- 3.1 向量序列的极限
- 3.2 矩阵序列的极限
- 4. 矩阵幂级数
1. 向量范数
向量范数: ∀ x ∈ V \forall x \in V ∀x∈V,若非负实数 ∣ ∣ x ∣ ∣ ||x|| ∣∣x∣∣满足
(1) 正定性: ∣ ∣ x ∣ ∣ ≥ 0 , 且 ∣ ∣ x ∣ ∣ = 0 ⟺ x = 0 ||x|| \ge 0,且 ||x|| = 0 \iff x = 0 ∣∣x∣∣≥0,且∣∣x∣∣=0⟺x=0
(2) 齐次性: ∣ ∣ a x ∣ ∣ = ∣ a ∣ ∣ ∣ x ∣ ∣ , a ∈ F ||ax|| = |a|\ ||x||,a \in F ∣∣ax∣∣=∣a∣ ∣∣x∣∣,a∈F
(3) 三角不等式: ∀ x , y ∈ V , 都 有 ∣ ∣ x + y ∣ ∣ ≤ ∣ ∣ x ∣ ∣ + ∣ ∣ y ∣ ∣ \forall x,y \in V,都有|| x + y|| \leq ||x|| + ||y|| ∀x,y∈V,都有∣∣x+y∣∣≤∣∣x∣∣+∣∣y∣∣
则称||x||为向量x的范数, [ V ; ∣ ∣ . ∣ ∣ ] [V;||.||] [V;∣∣.∣∣]为赋范空间
1-范数: ∣ ∣ x ∣ ∣ 1 = Σ i ∣ x i ∣ ||x||_1 = \Sigma_i |x_i| ∣∣x∣∣1=Σi∣xi∣
2-范数(向量长度,由内积所诱导的范数): ∣ ∣ x ∣ ∣ 2 = ( x , x ) = x H x = Σ i ∣ x i ∣ 2 ||x||_2 = \sqrt{(x,x)} = \sqrt{x^H x} = \sqrt{\Sigma_i|x_i|^2} ∣∣x∣∣2=(x,x)=xHx=Σi∣xi∣2
∞ \infty ∞-范数: ∣ ∣ x ∣ ∣ ∞ = m a x ∣ x i ∣ ||x||_\infty = max|x_i| ∣∣x∣∣∞=max∣xi∣
p-范数: ∀ p ∈ ( 1 , + ∞ ) , ∣ ∣ x ∣ ∣ p = Σ i ∣ x i ∣ p p , ∀ x ∈ C n \forall p \in (1,\ +\infty),||x||_p = \sqrt[p]{\Sigma_i |x_i|^p},\forall x \in C^n ∀p∈(1, +∞),∣∣x∣∣p=pΣi∣xi∣p,∀x∈Cn
例如:
若 x = ( 1 , i , 1 + i ) T x = (1,\ i,\ 1 + i)^T x=(1, i, 1+i)T,有
∣ ∣ x ∣ ∣ 1 = 1 + ∣ i ∣ + ∣ 1 + i ∣ = 1 + 1 + 2 = 2 + 2 ||x||_1 = 1 + |i| + |1 + i| = 1 + 1 + \sqrt{2} = 2 + \sqrt{2} ∣∣x∣∣1=1+∣i∣+∣1+i∣=1+1+2=2+2
∣ ∣ x ∣ ∣ 2 = 1 2 + ∣ i ∣ 2 + ∣ 1 + i ∣ 2 = 1 + 1 + 2 2 = 2 ||x||_2 = \sqrt{1^2 + |i|^2 + |1 + i|^2} = \sqrt{1 + 1 + \sqrt{2}^2} = 2 ∣∣x∣∣2=12+∣i∣2+∣1+i∣2=1+1+22=2
∣ ∣ x ∣ ∣ ∞ = m a x { 1 , 1 , 2 } = 2 ||x||_\infty = max\{1,\ 1,\ \sqrt{2}\} = \sqrt{2} ∣∣x∣∣∞=max{1, 1, 2}=2

向量范数的连续性: α 1 , ⋯ , α n 为 C n \alpha_1,\ \cdots,\ \alpha_n为C^n α1, ⋯, αn为Cn的任一组基, ∣ ∣ . ∣ ∣ 为 C n ||.||为C^n ∣∣.∣∣为Cn上任一向量范数, ∀ x ∈ C n , 有 x = Σ i x i α i , x i ∈ C n , 则 f ( x 1 , ⋯ , x n ) = ∣ ∣ x ∣ ∣ 为 x 1 , ⋯ , x n \forall x \in C^n,有x= \Sigma_i \ x_i \ \alpha_i,x_i \in C^n,则f(x_1,\ \cdots,\ x_n) = ||x||为x_1,\ \cdots,\ x_n ∀x∈Cn,有x=Σi xi αi,xi∈Cn,则f(x1, ⋯, xn)=∣∣x∣∣为x1, ⋯, xn的连续函数
向量范数的等价性: ∣ ∣ x ∣ ∣ ( 1 ) 与 ∣ ∣ x ∣ ∣ ( 2 ) ||x||^{(1)}与||x||^{(2)} ∣∣x∣∣(1)与∣∣x∣∣(2)是线性空间V上定义的两种向量范数,
若 ∃ c 1 , c 2 > 0 , 使 c 1 ∣ ∣ x ∣ ∣ ( 2 ) ≤ ∣ ∣ x ∣ ∣ ( 1 ) ≤ c 2 ∣ ∣ x ∣ ∣ ( 2 ) , ∀ x ∈ V \exists c_1, c_2 > 0,使c_1 ||x||^{(2)} \leq ||x||^{(1)} \leq c_2 ||x||^{(2)},\forall x \in V ∃c1,c2>0,使c1∣∣x∣∣(2)≤∣∣x∣∣(1)≤c2∣∣x∣∣(2),∀x∈V,则称这两个范数等价
有限维线性空间的任意两种向量范数都是等价的
在无限维线性空间中,两个向量范数是可以不等价的
2. 矩阵范数
矩阵范数: ∀ A ∈ F n × n \forall A \in F^{n \times n} ∀A∈Fn×n,对应一个非负实数||A||满足
(1) 正定性: ∣ ∣ A ∣ ∣ ≥ 0 , 且 ∣ ∣ A ∣ ∣ = 0 ⟺ A = 0 ||A|| \ge 0,且||A|| = 0 \iff A = 0 ∣∣A∣∣≥0,且∣∣A∣∣=0⟺A=0
(2) 齐次性: ∣ ∣ a A ∣ ∣ = ∣ a ∣ ∣ ∣ A ∣ ∣ , a ∈ F ||aA|| = |a|\ ||A||,a \in F ∣∣aA∣∣=∣a∣ ∣∣A∣∣,a∈F
(3) 三角不等式: ∀ A , B ∈ F n × n , 都 有 ∣ ∣ A + B ∣ ∣ ≤ ∣ ∣ A ∣ ∣ + ∣ ∣ B ∣ ∣ \forall A,B \in F^{n \times n},都有||A + B|| \leq ||A|| + ||B|| ∀A,B∈Fn×n,都有∣∣A+B∣∣≤∣∣A∣∣+∣∣B∣∣
(4) 相容性: ∀ A , B ∈ F n × n , 都 有 ∣ ∣ A B ∣ ∣ ≤ ∣ ∣ A ∣ ∣ ∣ ∣ B ∣ ∣ \forall A,B \in F^{n \times n},都有||AB|| \leq ||A|| \ ||B|| ∀A,B∈Fn×n,都有∣∣AB∣∣≤∣∣A∣∣ ∣∣B∣∣
则称||A||为矩阵A的范数
F(Frobenius)-范数: ∣ ∣ A ∣ ∣ F = Σ i Σ j ∣ a i j ∣ 2 ) = t r ( A H A ) = Σ i σ i 2 ||A||_F = \sqrt{\Sigma_{i} \Sigma_{j} |a_{ij}|^2)} = \sqrt{tr(A^HA)} = \sqrt{\Sigma_i \sigma_i^2} ∣∣A∣∣F=ΣiΣj∣aij∣2)=tr(AHA)=Σiσi2
例如:

A = ( a i j ) ∈ C n × n , ∣ ∣ A ∣ ∣ F = Σ i Σ j ∣ a i j ∣ 2 A = (a_{ij}) \in C^{n \times n},||A||_F = \sqrt{\Sigma_i \Sigma_j |a_{ij}|^2} A=(aij)∈Cn×n,∣∣A∣∣F=ΣiΣj∣aij∣2,则
( 1 ) ∣ ∣ A ∣ ∣ F = ∣ ∣ A H ∣ ∣ F (1) \quad ||A||_F = ||A^H||_F (1)∣∣A∣∣F=∣∣AH∣∣F
( 2 ) ∣ ∣ U A ∣ ∣ F = ∣ ∣ A V ∣ ∣ F = ∣ ∣ U A V ∣ ∣ F = ∣ ∣ A ∣ ∣ F (2) \quad ||UA||_F = ||AV||_F = ||UAV||_F = ||A||_F (2)∣∣UA∣∣F=∣∣AV∣∣F=∣∣UAV∣∣F=∣∣A∣∣F,其中U,V是酉矩阵
( 3 ) t r ( A H A ) = Σ i Σ j ∣ a i j ∣ 2 (3) \quad tr(A^H A) = \Sigma_i \Sigma_j |a_{ij}|^2 (3)tr(AHA)=ΣiΣj∣aij∣2
例如:
A = ( 0 3 i 1 0 − 1 0 − 1 1 2 ) , A H A = ( 1 − 1 2 − 1 11 2 − 3 i − 2 2 + 3 i 5 ) A = \begin{pmatrix} 0 & 3i & 1 \\ 0 & -1 & 0 \\ -1 & 1 & 2 \end{pmatrix},A^HA = \begin{pmatrix} 1 & -1 & 2 \\ -1 & 11 & 2-3i \\ -2 & 2 + 3i & 5 \end{pmatrix} A=⎝⎛00−13i−11102⎠⎞,AHA=⎝⎛1−1−2−1112+3i22−3i5⎠⎞
∣ ∣ A ∣ ∣ F = 9 + 1 + 1 + 1 + 1 + 4 = t r ( A H A ) = 1 + 11 + 5 = 17 ||A||_F = \sqrt{9 + 1 + 1 + 1 + 1 + 4} = \sqrt{tr(A^HA)} = \sqrt{1 + 11 + 5} = \sqrt{17} ∣∣A∣∣F=9+1+1+1+1+4=tr(AHA)=1+11+5=17
相容范数: ∣ ∣ A x ∣ ∣ ≤ ∣ ∣ A ∣ ∣ . ∣ ∣ x ∣ ∣ ||Ax|| \leq ||A|| .||x|| ∣∣Ax∣∣≤∣∣A∣∣.∣∣x∣∣,其中||x||是向量范数,||A||是矩阵范数
诱导范数: ∣ ∣ A ∣ ∣ = m a x { ∣ ∣ A x ∣ ∣ ∣ ∣ x ∣ ∣ } ||A|| = max\{\frac{||Ax||}{||x||}\} ∣∣A∣∣=max{∣∣x∣∣∣∣Ax∣∣},其中||x||是向量范数且 x ≠ 0 x \neq 0 x=0,称||A||为由向量范数||x||所诱导的诱导范数
矩阵p-范数: 由 ∣ ∣ x ∣ ∣ p ||x||_p ∣∣x∣∣p所诱导的矩阵范数。常用的p-范数为 ∣ ∣ A ∣ ∣ 1 , ∣ ∣ A ∣ ∣ 2 与 ∣ ∣ A ∣ ∣ ∞ ||A||_1,||A||_2与||A||_\infty ∣∣A∣∣1,∣∣A∣∣2与∣∣A∣∣∞
列和范数: ∣ ∣ A ∣ ∣ 1 = m a x ( Σ i = 1 n ∣ a i j ∣ ) ||A||_1 = max(\Sigma_{i = 1}^n |a_{ij}|) ∣∣A∣∣1=max(Σi=1n∣aij∣),np.max(np.sum(abs(arr), axis=1, keepdims=True), axis=0)
行和范数: ∣ ∣ A ∣ ∣ ∞ = m a x ( Σ j = 1 n ∣ a i j ∣ ) ||A||_\infty = max(\Sigma_{j = 1}^n |a_{ij}|) ∣∣A∣∣∞=max(Σj=1n∣aij∣),np.max(np.sum(abs(arr), axis=0, keepdims=True), axis=1)
谱范数: ∣ ∣ A ∣ ∣ 2 = λ 1 , λ 1 是 A H A ||A||_2 = \sqrt{\lambda_1},\lambda_1是A^HA ∣∣A∣∣2=λ1,λ1是AHA的最大特征值
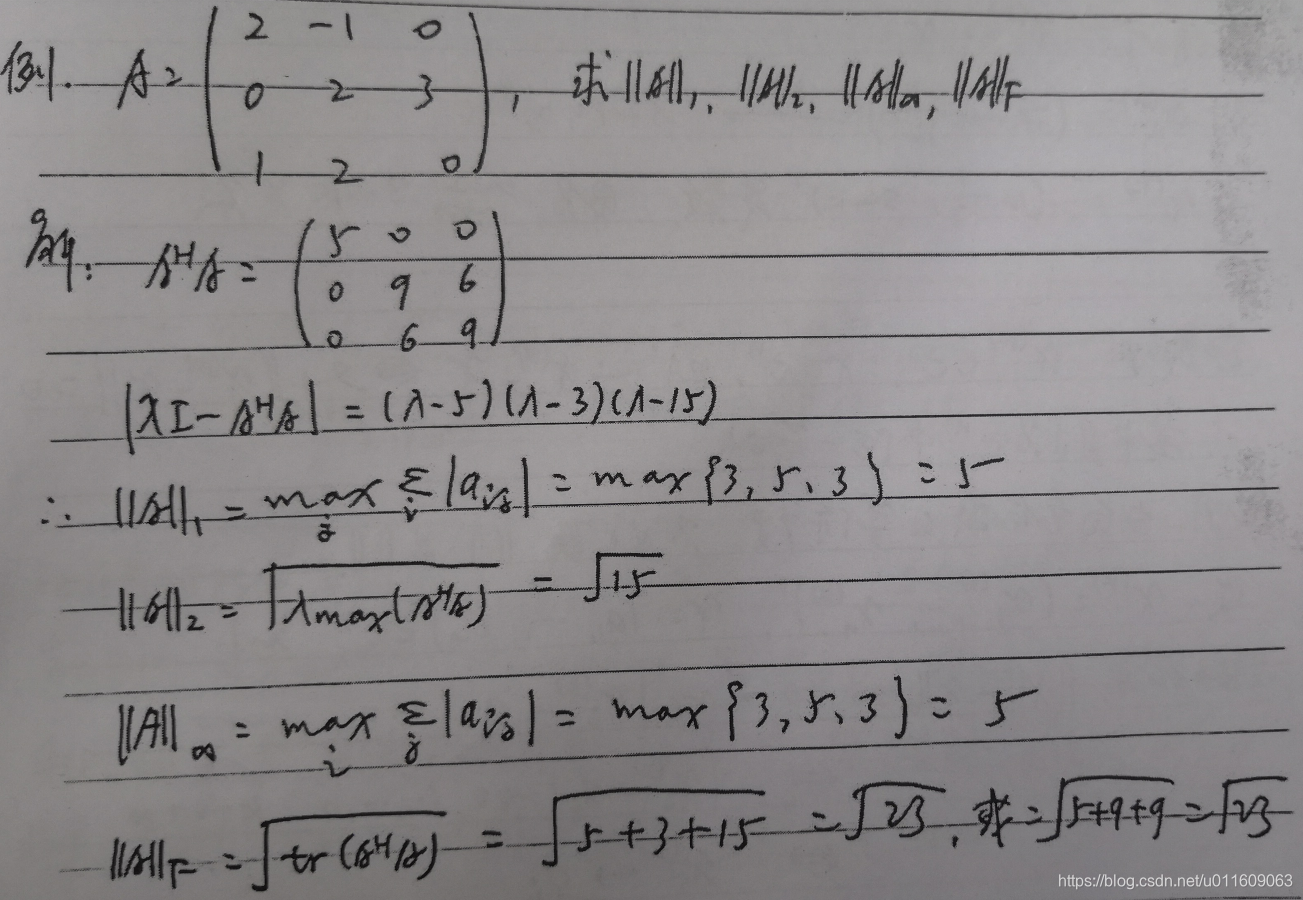
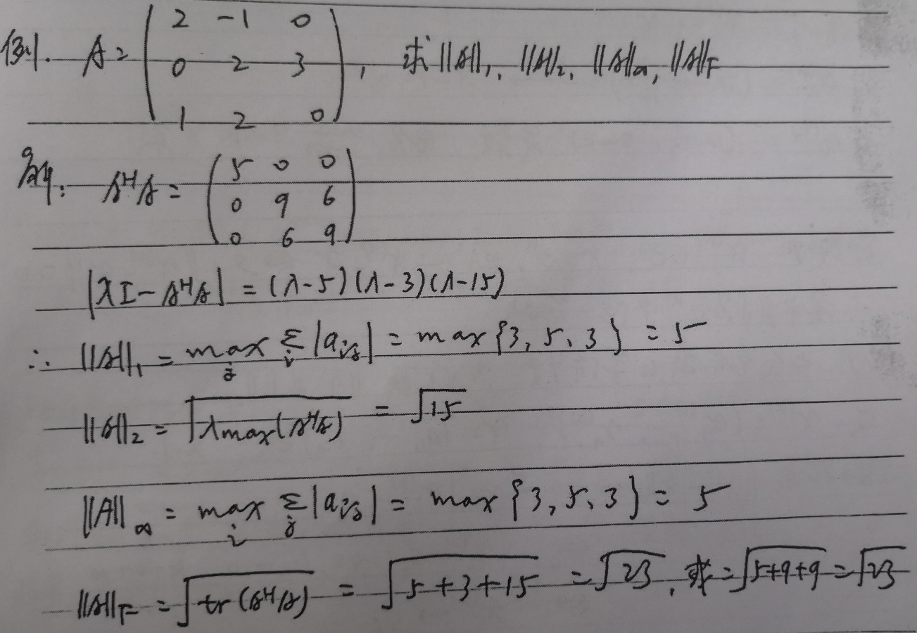
例如:

3. 向量序列与矩阵序列的极限
3.1 向量序列的极限
x ( k ) = ( x 1 ( k ) ⋯ x n ( k ) ) T , k = 1 , 2 , ⋯ 是 C n x^{(k)} = (x_1^{(k)} \quad \cdots \quad x_n^{(k)})^T,k = 1,2,\cdots是C^n x(k)=(x1(k)⋯xn(k))T,k=1,2,⋯是Cn空间的一个向量序列,如果当 k → + ∞ k \rightarrow +\infty k→+∞时,它的n个分量数列都收敛,即 lim k → ∞ x i ( k ) = a i , i = 1 , 2 , ⋯ , n \lim_{k \to \infty} x_i^{(k)} = a_i,i = 1,2,\cdots,n limk→∞xi(k)=ai,i=1,2,⋯,n,则称向量序列 { x ( k ) } \{x^{(k)}\} {x(k)}是按分量收敛的。向量 α = ( α 1 ⋯ α n ) T \alpha = (\alpha_1 \quad \cdots \quad \alpha_n)^T α=(α1⋯αn)T是它的极限,记为 l i m k → ∞ x ( k ) = α 或 x ( k ) → α lim_{k \rightarrow \infty} x^{(k)} = \alpha或 x^{(k)} \rightarrow \alpha limk→∞x(k)=α或x(k)→α
当至少有一个分量数列是发散的,则称向量序列是发散的。
例如

x ( k ) ∈ C n , α ∈ C n , 则 lim k → ∞ x ( k ) = α ⟺ lim k → ∞ ∣ ∣ x ( k ) − α ∣ ∣ = 0 x^{(k)} \in C^n,\alpha \in C^n,则\lim_{k \rightarrow \infty}x^{(k)} = \alpha \iff \lim_{k \rightarrow \infty} ||x^{(k)} - \alpha|| = 0 x(k)∈Cn,α∈Cn,则limk→∞x(k)=α⟺limk→∞∣∣x(k)−α∣∣=0,其中 ∣ ∣ . ∣ ∣ 为 C n ||.||为C^n ∣∣.∣∣为Cn中任一范数
3.2 矩阵序列的极限
矩阵序列 { A ( k ) } , A ( k ) = ( a i j ( k ) ) ∈ C n × n , 若 lim k → ∞ a i j ( k ) = a i j , i , j = 1 , ⋯ , n \{A^{(k)}\},A^{(k)} = (a_{ij}^{(k)}) \in C^{n \times n},若\lim_{k \rightarrow \infty} a_{ij}^{(k)} = a_{ij},i,j = 1,\cdots,n {A(k)},A(k)=(aij(k))∈Cn×n,若limk→∞aij(k)=aij,i,j=1,⋯,n,
则称矩阵序列 { A ( k ) } \{A^{(k)}\} {A(k)}收敛, A = ( a i j ( k ) ) 称 为 { A ( k ) } A = (a_{ij}^{(k)})称为\{A^{(k)}\} A=(aij(k))称为{A(k)}的极限,记为 lim k → ∞ A ( k ) = A 或 A ( k ) = A , k → ∞ \lim_{k \rightarrow \infty}A^{(k)} = A或A^{(k)} = A,k \rightarrow \infty limk→∞A(k)=A或A(k)=A,k→∞
例如:
A ( k ) = ( ( ( 1 + 1 k ) k 1 + 1 k − 1 ( − 1 ) k k ) ⟶ A = ( e 1 − 1 0 ) A^{(k)} = \begin{pmatrix} ((1 + \frac{1}{k}) ^ k & 1 + \frac{1}{k} \\ \\ -1 & \frac{(-1)^k}{k} \end{pmatrix} \longrightarrow A = \begin{pmatrix} e & 1 \\ \\ -1 & 0 \end{pmatrix} A(k)=⎝⎛((1+k1)k−11+k1k(−1)k⎠⎞⟶A=⎝⎛e−110⎠⎞
{ A ( k ) } ∈ C n × n , ∣ ∣ A ∣ ∣ ∈ C n × n , 则 l i m k → ∞ A ( k ) = ∣ ∣ A ∣ ∣ ⟺ l i m k → ∞ ∣ ∣ A ( k ) − A ∣ ∣ = 0 \{A^{(k)}\} \in C^{n \times n},||A|| \in C^{n \times n},则lim_{k \rightarrow \infty} A^{(k)} = ||A|| \iff lim_{k \rightarrow \infty} ||A^{(k)} - A|| = 0 {A(k)}∈Cn×n,∣∣A∣∣∈Cn×n,则limk→∞A(k)=∣∣A∣∣⟺limk→∞∣∣A(k)−A∣∣=0,其中 ∣ ∣ . ∣ ∣ 为 C n ||.||为C^n ∣∣.∣∣为Cn中任一范数
4. 矩阵幂级数
谱半径: ρ ( A ) = m a x ( ∣ λ i ∣ ) , λ i ∈ { λ 1 , λ 2 , ⋯ , λ n } , { λ 1 , λ 2 , ⋯ , λ n } 矩 阵 A ∈ C n × n \rho(A) = max(|\lambda_i|),\lambda_i \in \{\lambda_1,\ \lambda_2,\ \cdots,\ \lambda_n\},\{\lambda_1,\ \lambda_2,\ \cdots,\ \lambda_n\}矩阵A \in C^{n \times n} ρ(A)=max(∣λi∣),λi∈{λ1, λ2, ⋯, λn},{λ1, λ2, ⋯, λn}矩阵A∈Cn×n的全部特征值
ρ ( A k ) = ( ρ ( A ) ) k \rho(A^k) = (\rho(A))^k ρ(Ak)=(ρ(A))k
A k → 0 ( k → ∞ ) ⟺ ρ ( A ) < 1 A^k \rightarrow 0(k \rightarrow \infty) \iff \rho(A) < 1 Ak→0(k→∞)⟺ρ(A)<1
A ∈ C n × n , ∀ 矩 阵 范 数 ∣ ∣ A ∣ ∣ ∈ C n × n , 都 有 ρ ( A ) ≤ ∣ ∣ A ∣ ∣ A \in C^{n \times n},\forall 矩阵范数||A|| \in C^{n \times n},都有\rho(A) \leq ||A|| A∈Cn×n,∀矩阵范数∣∣A∣∣∈Cn×n,都有ρ(A)≤∣∣A∣∣。即A的谱半径是A的任意一种矩阵范数的下界。
A ∈ C n × n , ∀ ϵ > 0 A \in C^{n \times n},\forall \epsilon > 0 A∈Cn×n,∀ϵ>0,存在某种矩阵范数 ∣ ∣ A ∣ ∣ ∗ , 使 ∣ ∣ A ∣ ∣ ∗ ≤ ρ ( A ) + ϵ ||A||_*,使||A||_* \leq \rho(A) + \epsilon ∣∣A∣∣∗,使∣∣A∣∣∗≤ρ(A)+ϵ。即A的谱半径是A的所有矩阵范数的下确界
证明:

矩阵幂级数: Σ k = 0 ∞ a k A k = a 0 I + a 1 A + ⋯ + a k A k + ⋯ , 其 中 A ∈ C n × n , a k ∈ C \Sigma_{k = 0}^{\infty} a_k A^k = a_0 I + a_1 A + \cdots + a_k A^k + \cdots,其中A \in C^{n \times n},a_k \in C Σk=0∞akAk=a0I+a1A+⋯+akAk+⋯,其中A∈Cn×n,ak∈C
矩阵幂级数的部分和: S n ( A ) = Σ k = 0 n a k A k S_n(A) = \Sigma^n_{k = 0} a_k A^k Sn(A)=Σk=0nakAk
若 { S n ( A ) } \{S_n(A)\} {Sn(A)}收敛,则称 Σ k = 0 ∞ a k A k \Sigma^\infty_{k = 0}a_kA^k Σk=0∞akAk收敛,否则发散
若 lim n → ∞ S n ( A ) = S \lim_{n \rightarrow \infty} S_n(A) = S limn→∞Sn(A)=S,则称S为 Σ k = 0 ∞ a k A k \Sigma_{k = 0}^\infty a_kA^k Σk=0∞akAk的和矩阵
收敛性判别: 若复变量z的幂级数 Σ k = 0 ∞ a k z k \Sigma_{k = 0}^{\infty}a_k z^k Σk=0∞akzk的收敛半径为R, R = lim n → ∞ a n a n + 1 R = \lim_{n \to \infty} \frac{a_n}{a_{n + 1}} R=limn→∞an+1an,而方阵 A ∈ C n × n A \in C^{n \times n} A∈Cn×n的谱半径为 ρ ( A ) \rho(A) ρ(A),则
(1) ρ ( A ) < R , 则 Σ k = 0 ∞ a k A k \rho(A) < R,则\Sigma_{k = 0}^\infty a_k A^k ρ(A)<R,则Σk=0∞akAk收敛
(2) ρ ( A ) > R , 则 Σ k = 0 ∞ a k A k \rho(A) > R,则\Sigma_{k = 0}^\infty a_k A^k ρ(A)>R,则Σk=0∞akAk发散
(3) ρ ( A ) = R , 则 Σ k = 0 ∞ a k A k \rho(A) = R,则\Sigma_{k = 0}^\infty a_k A^k ρ(A)=R,则Σk=0∞akAk收敛性不定
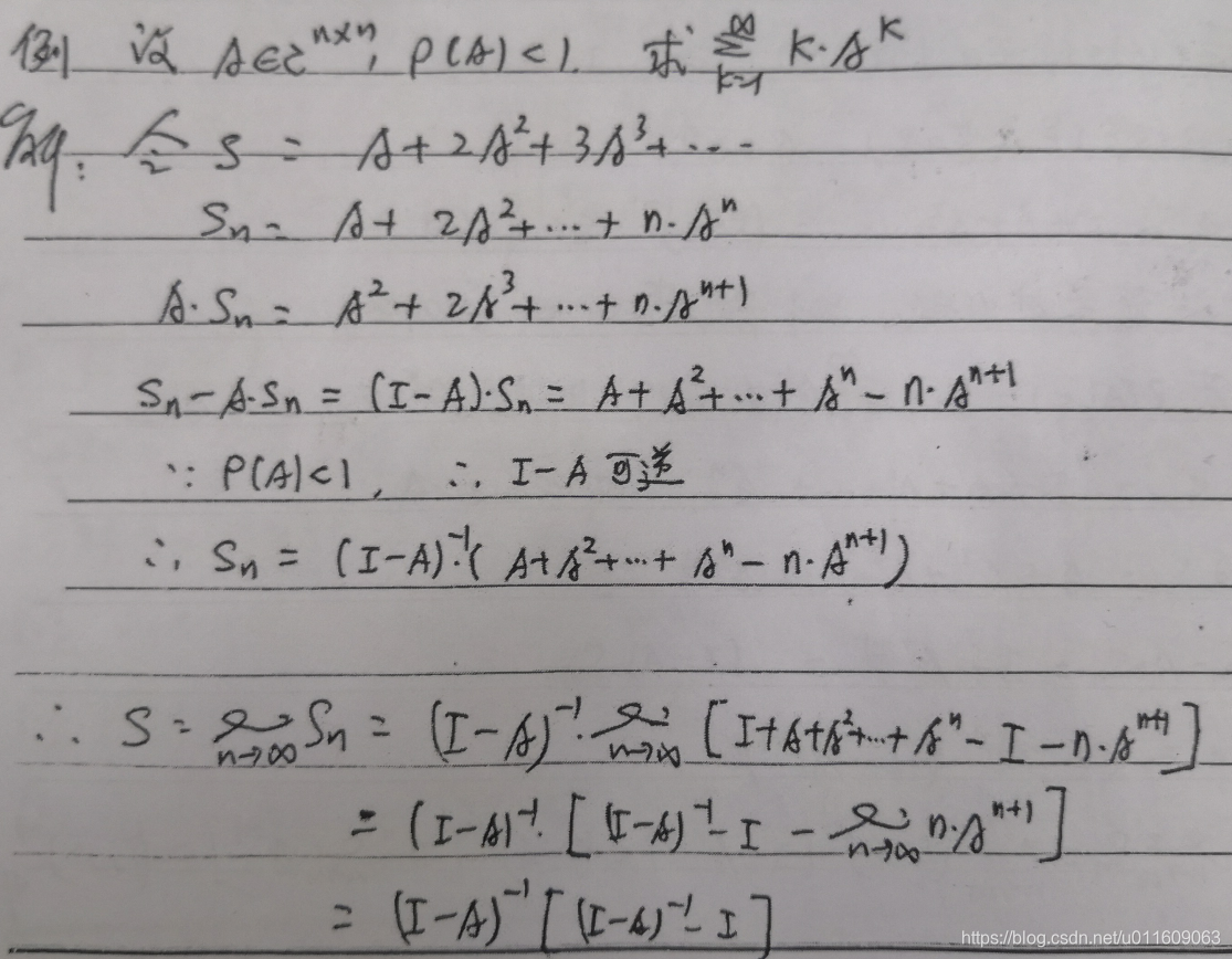
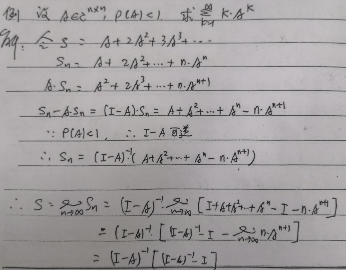
例如:




本文来自互联网用户投稿,文章观点仅代表作者本人,不代表本站立场,不承担相关法律责任。如若转载,请注明出处。 如若内容造成侵权/违法违规/事实不符,请点击【内容举报】进行投诉反馈!
