问题描述:
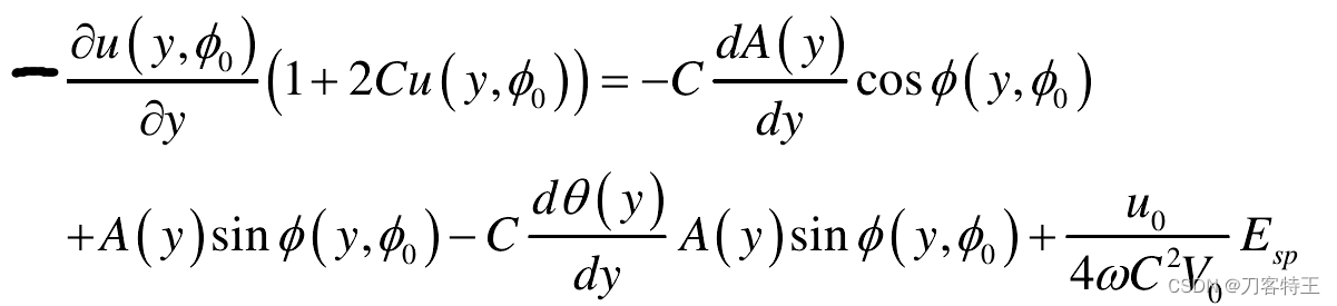
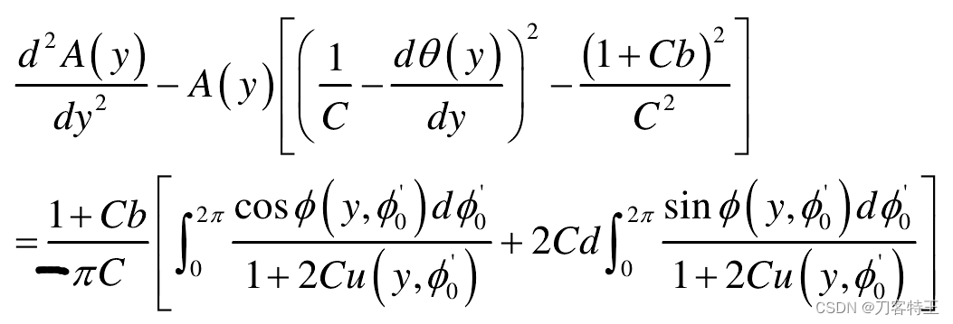
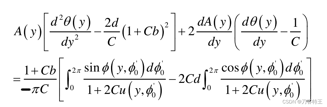
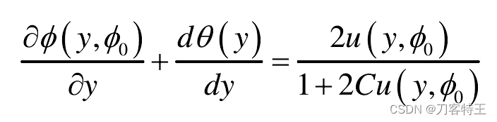
对于电子与电磁波的相互作用过程中的能量转换过程可以采用以下四个方程来描述:
其中:u,A,phi和theta分别为:
中 ( )0φy,φ 表示该电子在其所处位置上行波的相位,而其中的 θ 表示的是行波与一个相速等于电子初始速度的波之间的相位差。




一、欧拉法

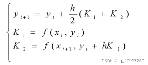
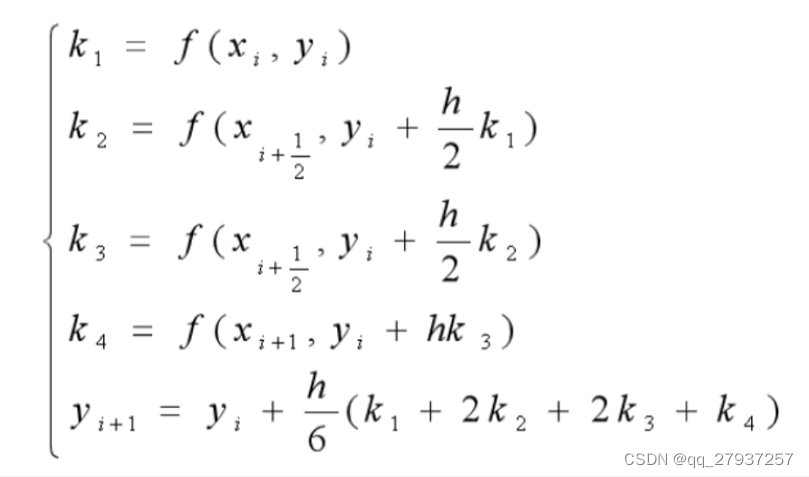
二、Runge Kutta法

三、matlab中的ODE法

本文来自互联网用户投稿,文章观点仅代表作者本人,不代表本站立场,不承担相关法律责任。如若转载,请注明出处。 如若内容造成侵权/违法违规/事实不符,请点击【内容举报】进行投诉反馈!