二阶常微分方程
1 二阶齐次常微分方程
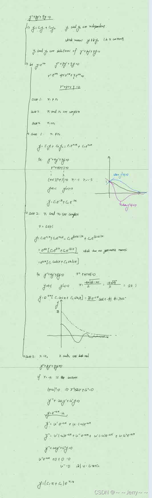
对于二阶齐次常微分方程,对任意的两个独立解y1(x)和y2(x)(y1和y2不可以线性表示),其线性组合是二阶齐次常微分方程的解
y = C1 * y1 + C2 * y2

二阶线性常微分方程
hyperlink

二阶非线性常微分方程
可利用
对于二阶齐次常微分方程,对任意的两个独立解y1(x)和y2(x)(y1和y2不可以线性表示),其线性组合是二阶齐次常微分方程的解
y = C1 * y1 + C2 * y2
求解
例题:

2 二阶非齐次常微分方程
本文来自互联网用户投稿,文章观点仅代表作者本人,不代表本站立场,不承担相关法律责任。如若转载,请注明出处。 如若内容造成侵权/违法违规/事实不符,请点击【内容举报】进行投诉反馈!
