模素数幂的二次同余方程的程序C语言,二次同余方程的解
今天要讨论的问题是解方程
,其中
是奇质数。
引理:

证明:由费马小定理,

引理:方程有解当且仅当

定理:设
满足
不是模
的二次剩余,即
无解,那么
是二次
剩余方程
的解。
证明:由
,前面的等号用二项式定理和
,后面的等
号用了费马小定理和
是模
的二次非剩余。然后

在算法实现的时候,对
的选择可以随机,因为大约有一半数是模
的二次非剩余,然后快速幂即可。
题意:求二次同余方程的解。
代码:
#include
#include
#include
#include
#include
#include
using namespace std;
typedef long long LL;
LL quick_mod(LL a, LL b, LL m)
{
LL ans = 1;
a %= m;
while(b)
{
if(b & 1)
{
ans = ans * a % m;
b--;
}
b >>= 1;
a = a * a % m;
}
return ans;
}
struct T
{
LL p, d;
};
LL w;
//二次域乘法
T multi_er(T a, T b, LL m)
{
T ans;
ans.p = (a.p * b.p % m + a.d * b.d % m * w % m) % m;
ans.d = (a.p * b.d % m + a.d * b.p % m) % m;
return ans;
}
//二次域上快速幂
T power(T a, LL b, LL m)
{
T ans;
ans.p = 1;
ans.d = 0;
while(b)
{
if(b & 1)
{
ans = multi_er(ans, a, m);
b--;
}
b >>= 1;
a = multi_er(a, a, m);
}
return ans;
}
//求勒让德符号
LL Legendre(LL a, LL p)
{
return quick_mod(a, (p-1)>>1, p);
}
LL mod(LL a, LL m)
{
a %= m;
if(a < 0) a += m;
return a;
}
LL Solve(LL n,LL p)
{
if(p == 2) return 1;
if (Legendre(n, p) + 1 == p)
return -1;
LL a = -1, t;
while(true)
{
a = rand() % p;
t = a * a - n;
w = mod(t, p);
if(Legendre(w, p) + 1 == p) break;
}
T tmp;
tmp.p = a;
tmp.d = 1;
T ans = power(tmp, (p + 1)>>1, p);
return ans.p;
}
int main()
{
int t;
scanf("%d", &t);
while(t--)
{
int n, p;
scanf("%d %d",&n,&p);
n %= p;
int a = Solve(n, p);
if(a == -1)
{
puts("No root");
continue;
}
int b = p - a;
if(a > b) swap(a, b);
if(a == b)
printf("%d\n",a);
else
printf("%d %d\n",a,b);
}
return 0;
}
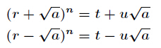
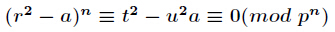
接下来我们来解另一个二次同余方程
的解,其中
,并且
是奇质数。方法如下
先求出方程
的一个解
,那么进一步有

我们知道

那么也就是说

可以证明
和
,那么最终得到

这里由于
不是素数,所以求逆元用扩展欧几里得算法即可。
例如:求方程
的解
分析:利用上述方法求得
,最终解得
。
本文来自互联网用户投稿,文章观点仅代表作者本人,不代表本站立场,不承担相关法律责任。如若转载,请注明出处。 如若内容造成侵权/违法违规/事实不符,请点击【内容举报】进行投诉反馈!
