机器学习之用逻辑回归制作评分卡(分类分析:基于UCI的german信用评分卡设计)
文章目录
- 前言
- 一、知识准备
- 二、数据获取及读入
- 三、数据处理
- 3.1.缺失值处理
- 3.2.异常值处理
- 3.3.重复值处理
- 四、探索性分析
- 4.1.查看数据分布是否平衡
- 4.2.样本平衡
- 4.3.离散型变量在好坏客户上的分布
- 4.4.连续型变量在好坏客户上的分布
- 五、数据预处理
- 5.1.离散变量WOE值转换
- 5.2.连续型变量的分箱及WOE值转换
- 六、特征选择
- 七、Logistic回归模型构建
- 7.1.划分训练集和测试集
- 7.2.探索模型最优参数及训练模型
- 八、模型检验
- 8.1.测试集预测值与真实的好坏样本分布图
- 8.2.混淆矩阵及PR曲线
- 8.3.ROC曲线
- 九、评分卡构建
- 9.1.基础得分
- 9.2.各评分结果
前言
提示:这里可以添加本文要记录的大概内容:
本次实验希望通过利用来自UCI数据集中的german.data进行数据处理和特征选择。之后通过逻辑回归进行模型构建与评估,然后构建评分卡模型,分数转化生成评分卡,最后制作符合业务要求且兼顾用户体验的评分卡。
提示:工具选择:JupyterLab notebook
一、知识准备
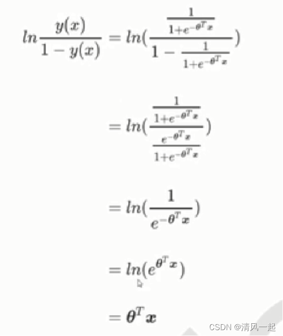
1.构建逻辑回归模型


Sigmoid函数





逻辑回归(Logistic Regression)是对数几率回归,属于广义线性模型(GLM),它的因变量一般只有0或1.
线性回归并没有对数据的分布进行任何假设,而逻辑回归隐含了一个基本假设 :每个样本均独立服从于伯努利分布(0-1分布)
2.分箱
分箱方法:等频分箱、等距分箱(pandas的cut和qcut函数)、Chi-megerd卡方分箱,Best-KS方法(局限性较多,不建议使用),IV最优分箱,基于树的最优分箱(信息增益,gini指数等)。
3.特征选择



4.评分卡构建
关于评分卡的构建的理论知识,读者可仔细阅读以下文章:
1.信用评分卡模型的理论准备
2.让你彻底理解信用评分卡原理(Python实现评分卡代码)
二、数据获取及读入
- 数据准备:来自UCI数据集https://archive.ics.uci.edu/ml/machine-learning-databases/statlog/german/
- 读入数据
import numpy as np
import pandas as pd
import matplotlib.pyplot as plt
import seaborn as sns
%matplotlib inlineplt.rcParams['font.sans-serif'] = ['Arial Unicode MS'] # SimHei.ttf
plt.rcParams['axes.unicode_minus'] = False
rc = {'font.sans-serif': 'SimHei','axes.unicode_minus': False}
data = pd.read_csv('数据/german.data',header = None ,sep='\\s+')
# display(df.head(2))
#变量重命名
#account_status((定性)现有支票帐户的状况);period((数值)月份持续时间,还了多久的贷款了);history_credit((定性)信用记录)
#credit_purpose((定性)贷款目的);credit_limit((数值)信用额);saving_account((定性)储蓄账户/债券)
#person_employee((定性)目前就业(就业年限));income_installment_rate((数值)分期付款率按可支配收入的百分比计算);marry_sex((定性)个人地位和性别)
#other_debtor((定性)其他债务人/担保人);address((数值)现在居住地);property((定性)属性)
#age(数值)年龄;installment_plans((定性)其他分期付款计划);housing((定性)住房)
#credits_num((数值)此银行现有的信用额);job((定性)工作);dependents((数值)可还款人数)
#have_phone((定性)电话);foreign_worker((定性)外国工人);target( 信用好坏)columns = ["account_status","period","history_credit","credit_purpose","credit_limit","saving_account","person_employee","income_installment_rate","marry_sex","other_debtor","address","property","age","installment_plans","housing","credits_num","job","dependents","have_phone","foreign_worker","target"]
data.columns = columns
##将标签变量由状态1,2转为0,1;0表示好用户,1表示坏用户
data.target = data.target - 1
data.head()

三、数据处理
3.1.缺失值处理
#查看数据属性
data.info()

由上图可以看出,每一列并不存在缺失值,不需要进行缺失值处理。
3.2.异常值处理
#查看连续变量数据分布
data.describe()

由上图及结合各个列数据的含义及实际情况,认为各连续变量均分布在合理范围内。
3.3.重复值处理
#查看是否有重复值
data[data.duplicated()==True]
#异常值应该不存在,不做探究

四、探索性分析
#分辨出连续变量与离散变量
feature_names = ["account_status","period","history_credit","credit_purpose","credit_limit","saving_account","person_employee","income_installment_rate","marry_sex","other_debtor","address","property","age","installment_plans","housing","credits_num","job","dependents","have_phone","foreign_worker"]
#所有列名
categorical_var = [] #保存离散变量列名
numerical_var = [] #保存连续型变量列名
##先判断类型,如果是int或float就直接作为连续变量
numerical_var = list(data[feature_names].select_dtypes(include=['int','float','int32','float32','int64','float64']).columns.values)
categorical_var = [x for x in feature_names if x not in numerical_var]
display(categorical_var)
display(numerical_var)

4.1.查看数据分布是否平衡
#查看一下好坏客户分布
sns.set(style = 'darkgrid',color_codes = True,rc=rc)
sns.countplot(x = df['target'],data = df)

可知,数据并不平衡,需要进行样本平衡处理。
4.2.样本平衡
由上面结果,我们可以知道,存在样本不平衡问题,需要进行样本平衡,采用过采样(上采样)的方法。RandomOverSampler通过对少数类样本进行有放回地随机采样来生成少数类的样本。
#样本平衡
from imblearn.over_sampling import RandomOverSampler
ros = RandomOverSampler(random_state=42)
X,y= ros.fit_resample(X,y)n_sample_ = X.shape[0]#278584pd.Series(y).value_counts()n_1_sample = pd.Series(y).value_counts()[1]
n_0_sample = pd.Series(y).value_counts()[0]print('样本个数:{}; 1占{:.2%}; 0占{:.2%}'.format(n_sample_,n_1_sample/n_sample_,n_0_sample/n_sample_))
#样本个数:278584; 1占50.00%; 0占50.00%

4.3.离散型变量在好坏客户上的分布
#离散型变量 在好客户与坏客户分布上的可视化
p = 1
plt.figure(figsize=(20,18))
row = 5 #画布为几行
col = 3 #画布为几列
for i in categorical_var[0:13]:# df_var = "df_" + idf_var = pd.crosstab(df[i],df["target"])df_var["bad_rate"] = round(df_var[1]/(df_var[1]+df_var[0]),4)# display(df_var)# print(df_var.index)# print(df_var.columns)# print(p)#添加子区间绘制,ax1 = plt.subplot(row,col,p) #子区空间为n行n列 year = df_var.index # 横坐标data1 = df_var[0] # 纵坐标 好用户data2 = df_var[1] # 纵坐标 坏用户data3 = df_var["bad_rate"] #坏用户占比# 先得到year长度, 再得到下标组成列表x = range(len(year))bar_width = 0.3 #每一个柱子偏移的距离# 好坏用户柱状图ax1.bar(x, data1, width=bar_width, color='#3A669C', label="好用户")# 向右移动0.2, 柱状条宽度为0.2#坏用户柱状图ax1.bar([i + bar_width for i in x], data2, width=bar_width, color='#C0504D',label="违约用户")# 底部汉字移动到两个柱状条中间(本来汉字是在左边蓝色柱状条下面, 向右移动0.1)plt.xticks([i + bar_width/2 for i in x], year)if p == 1 or p == col+1:ax1.set_ylabel('用户数量',size=10)ax1.set_xlabel(i,size=10) #很坐标的标签设为列名text_heiht = 3# 为每个条形图添加数值标签for x1,y1 in enumerate(data1):ax1.text(x1, y1+text_heiht, y1,ha='center',fontsize=8)for x2,y2 in enumerate(data2):ax1.text(x2+bar_width,y2+text_heiht,y2,ha='center',fontsize=8)# bad_rate线 共用纵坐标轴ax2 = ax1.twinx()p3 = ax2.plot([i + bar_width/2 for i in x], data3, color="gray",linestyle='--', label="坏用户占比")if p == 3 or p == 6:ax2.set_ylabel("坏用户占比")showlabel=Trueif p == 1 and showlabel == True:ax1.legend(loc="upper center")ax2.legend(loc=2)p = p + 1plt.show()

4.4.连续型变量在好坏客户上的分布
#连续性变量分布直方图
p = 1
plt.figure(figsize=(20,18))
row = 4 #画布为几行
col = 2 #画布为几列
for i in numerical_var[0:7]:df_var = "df_" + idf_var = pd.DataFrame({'target':df["target"],'variables':df[i]})df_var_good = df_var.loc[df_var["target"]==0,]df_var_good = df_var_good.sort_values(["variables"]) #排序df_var_bad = df_var.loc[df_var["target"]==1,]df_var_bad = df_var_bad.sort_values(["variables"]) #排序plt.subplot(row,col,p) #子区空间为2行3列 if i == "period" or i == "age":bins_i = 60elif i == "credit_limit":bins_i = 150else:bins_i = 50#参数density=True表示是否归一化plt.hist(df_var_good["variables"],bins=bins_i,color='r',alpha=0.5,rwidth=0.6,density=True,label='好用户') plt.hist(df_var_bad['variables'],bins=bins_i,color='b',alpha=0.5,rwidth=0.6,density=True,label='坏用户')plt.legend()if p == 1:plt.title('好坏用户分布直方图')plt.xlabel(i)plt.ylabel('count')p = p+1plt.show()

五、数据预处理
主要式分箱及WOE的转换
5.1.离散变量WOE值转换
woeall = {} #定义保存各分类(分箱)weo值字典
woe1 = {}
for i in categorical_var:element = list(df[i].unique())for j in element:all1 = len(df[df[i]==j])bad = len(df[(df[i]==j)&(df['target']==1)])good = len(df[(df[i]==j)&(df['target']==0)])woe = np.log((good/all1)/(bad/all1))woe1[j] = round(woe,3)df.loc[df[i]==j,i] = round(woe,3)woeall[i] = woe1woe1 = {}
df.head(10)
#保存标签和weo值到字典中

woeall #查看以下各列各元素对应的WOE值

5.2.连续型变量的分箱及WOE值转换
1.定义预分箱函数(等距分箱)
# 在 统计学中, 以查尔斯·爱德华·斯皮尔曼命名的斯皮尔曼等级相关系数,即spearman相关系数。经常用希腊字母ρ表示。
# 它是衡量两个变量的依赖性的 非参数 指标。 它利用单调方程评价两个统计变量的相关性。
# 如果数据中没有重复值, 并且当两个变量完全单调相关时,斯皮尔曼相关系数则为+1或−1
#0表示好用户,1表示坏用户
# from scipy import stats
def mono_bin1(Y,X,n = 2):# r = 0bad = Y.sum() #坏客户的个数good = Y.count()-bad #好客户的个数list1 = []while n < 11:d1 = pd.DataFrame({"X":X,"Y":Y,"Bucket":pd.cut(X,n,duplicates='drop')}) ##将原数据离散化,分成20份区间d2 = d1.groupby('Bucket',as_index = True) #以区间的分组# r,p = stats.spearmanr(d2.mean().X,d2.mean().Y) #每一个区间的平均值与每一个区间分类的平均值n = n+1d3 = pd.DataFrame(d2.X.min(),columns = ['min']) #该分区的最小值d3['min'] = d2.min().Xd3['max'] = d2.max().Xd3['sum'] = d2.sum().Y #坏客户总数d3['total'] = d2.count().Y #客户总数d3['rate'] = d2.mean().Y #这个是坏的客户的占比d3['Distribution_Good'] = (d3['total'] - d3['sum']) / ((d3['total'] - d3['sum']).sum()) #相对于ppt中good%d3['Distribution_Bad'] = d3['sum'] / d3['sum'].sum() #相对于ppt中bad%d3['weo'] = np.log(d3['Distribution_Good'] / d3['Distribution_Bad'])iv = (d3['weo'] * (d3['Distribution_Good'] - d3['Distribution_Bad'])).sum()list1.append(iv)return list1
# 1.定义DataFrame,存放我们的每一个列的iv值
df_iv = pd.DataFrame()#连续变量列
dd = ['period','credit_limit','income_installment_rate','address','age','credits_num','dependents']
for i in dd:df_iv[i] = mono_bin1(df['target'],df[i])df_iv['份数'] =[2,3,4,5,6,7,8,9,10]
df_iv
# 1.定义DataFrame,存放我们的每一个列的iv值
df_iv = pd.DataFrame()#连续变量列
dd = ['period','credit_limit','income_installment_rate','address','age','credits_num','dependents']
for i in dd:df_iv[i] = mono_bin1(df['target'],df[i])df_iv['份数'] =[2,3,4,5,6,7,8,9,10]
df_iv

2.可视化df_iv,观察每一个变量最适合的分箱数
p = 1
plt.figure(figsize=(22,18))
row = 5 #画布为几行
col = 2 #画布为几列
for i in df_iv.iloc[:,0:7]:plt.subplot(row,col,p) #子区空间为2行3列 #参数density=True表示是否归一化plt.plot(df_iv['份数'], df_iv[i], marker ='*', linewidth=2, linestyle='--', color='orange')plt.title(i)# plt.hist(df_iv[i],color='r',alpha=0.5,rwidth=0.6,density=True) p = p+1
plt.show()

3.正式分箱函数(等距分箱)
#0表示好用户,1表示坏用户
from scipy import stats
def mono_bin(Y,X,n):bad = Y.sum() #坏客户的个数good = Y.count()-bad #好客户的个数d1 = pd.DataFrame({"X":X,"Y":Y,"Bucket":pd.cut(X,n,duplicates='drop')}) ##将原数据离散化d2 = d1.groupby('Bucket',as_index = True) #以区间的分组d5 = d1['Bucket'].sort_values().astype('str').unique()d3 = pd.DataFrame(d2.X.min(),columns = ['min']) #该分区的最小值d3['min'] = d2.min().Xd3['max'] = d2.max().Xd3['sum'] = d2.sum().Y #坏客户总数d3['total'] = d2.count().Y #客户总数d3['rate'] = d2.mean().Y #这个是坏的客户的占比d3['Distribution_Good'] = (d3['total'] - d3['sum']) / ((d3['total'] - d3['sum']).sum()) #相对于ppt中good%d3['Distribution_Bad'] = d3['sum'] / d3['sum'].sum() #相对于ppt中bad%d3['weo'] = np.log(d3['Distribution_Good'] / d3['Distribution_Bad'])iv = (d3['weo'] * (d3['Distribution_Good'] - d3['Distribution_Bad'])).sum()d4 = (d3.sort_values(by = 'min')).reset_index(drop = True)cut = []cut.append(float('-inf'))for i in range(len(d5)-1):x = eval(d5[i].split(',')[1][:-1])cut.append(x)cut.append(float('inf'))weo = list(d4['weo'].round(3))woe1={}for j in range(len(cut)-1):val = '('+str(cut[j])+','+str(cut[j+1])+']'woe1[val] = weo[j]woeall[X.name] = woe1woe1 = {}return d4,iv,cut,weo
d4_period,iv_period,cut_period,weo_period = mono_bin(df['target'],df['period'],5)
d4_credit_limit ,iv_credit_limit,cut_credit_limit,weo_credit_limit = mono_bin(df['target'],df['credit_limit'],5)
d4_income_installment_rate ,iv_income_installment_rate,cut_income_installment_rate,weo_income_installment_rate = mono_bin(df['target'],df['income_installment_rate'],4)
d4_address ,iv_address,cut_address,weo_address= mono_bin(df['target'],df['address'],4)
d4_age ,iv_age,cut_age,weo_age= mono_bin(df['target'],df['age'],8)
d4_credits_num ,iv_credits_num,cut_credits_num,weo_credits_num= mono_bin(df['target'],df['credits_num'],4)
4.连续变量WOE值转换函数
#连续变量WEO转换
def replace_weo(series,cut,weo):list1 = []i = 0while i<len(series):value = series[i]j = len(cut)-2m = len(cut)-2while j >=0:if value >=cut[j]:j = -1else:j = j-1m = m -1list1.append(weo[m])i = i+1return list1
df['period'] = pd.Series(replace_weo(df['period'],cut_period,weo_period))
df['credit_limit'] = pd.Series(replace_weo(df['credit_limit'],cut_credit_limit,weo_credit_limit))
df['income_installment_rate'] = pd.Series(replace_weo(df['income_installment_rate'],cut_income_installment_rate,weo_income_installment_rate))
df['address'] = pd.Series(replace_weo(df['address'],cut_address,weo_address))
df['age'] = pd.Series(replace_weo(df['age'],cut_age,weo_age))
df['credits_num'] = pd.Series(replace_weo(df['credits_num'],cut_credits_num,weo_credits_num))
df.head(30)

六、特征选择
df_columns = ["account_status","period","history_credit","credit_purpose","credit_limit","saving_account","person_employee","income_installment_rate","marry_sex","other_debtor","address","property","age","installment_plans","housing","credits_num","job","dependents","have_phone","foreign_worker"]
list_iv = []
for i in df_columns:iv = 0only = df[i].unique()for j in only:good_rate = len(df.loc[(df[i]==j)&(df['target']==0)])/len(df[df['target']==0])bad_rate = len(df.loc[(df[i]==j)&(df['target']==1)])/len(df[df['target']==1])iv = iv+(j*(good_rate-bad_rate))list_iv.append(iv)
# list_iv
for i in range(len(list_iv)):print(f"列:{df_columns[i]}, iv=:{list_iv[i]}")

可视化更清晰
columns1 = ["account_status","period","history_credit","credit_purpose","credit_limit","saving_account","person_employee","income_installment_rate","marry_sex","other_debtor","address","property","age","installment_plans","housing","credits_num","job","dependents","have_phone","foreign_worker"]
list_iv
#创建按一个以columns1为索引,list_iv为值的Series,便于我们画图
iv_plot = pd.Series(list_iv,index = columns1,name = "iv")
iv_plot = iv_plot.sort_values()
#可视化一下IV值排行(从小到大)
plt.figure(figsize = (25 ,7))
plt.bar(iv_plot.index ,iv_plot.values ,color = '#3beeb5')
# 对x轴进行翻转,竖向显示
plt.xticks(rotation=90, fontsize=14)
for a ,b in zip(iv_plot.index ,iv_plot.values.round(4)):plt.text(a ,b + 0.01 ,b ,ha = 'center' ,va = 'bottom')

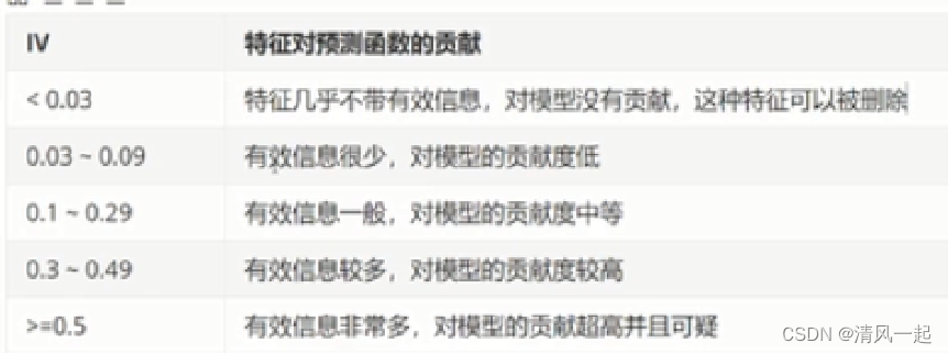
我只选取iv值大于0.1的变量作为特征变量,因此选取出以下变量
#剩下的目标变量
data = df[["account_status","period","history_credit","credit_purpose","credit_limit","saving_account","person_employee","age","housing","target"]]
data.head()

七、Logistic回归模型构建
7.1.划分训练集和测试集
from sklearn import model_selection as cv
data_train_woe, data_test_woe = cv.train_test_split(df, test_size=0.2, random_state=10, stratify=df.target)
7.2.探索模型最优参数及训练模型
from sklearn.model_selection import GridSearchCV
from sklearn.linear_model import LogisticRegression
##训练模型
####取出训练数据与测试数据
x_train = np.array(data_train_woe[[i for i in data_train_woe.columns if i!='target']])
y_train = np.array(data_train_woe.target)x_test = np.array(data_test_woe[[i for i in data_test_woe.columns if i!='target']])
y_test = np.array(data_test_woe.target)##网络搜索查找最优参数
lr_param = {'C': [0.01, 0.1, 0.2, 0.5, 1, 1.5, 2],'class_weight': [{1: 1, 0: 1}, {1: 2, 0: 1}, {1: 3, 0: 1}, 'balanced'],'max_iter': range(10,100,10)}##逻辑回归模型
lr_gsearch = GridSearchCV(estimator=LogisticRegression(random_state=0, fit_intercept=True, penalty='l2'),param_grid=lr_param, cv=5, scoring='f1', n_jobs=-1, verbose=2)##执行超参数优化
lr_gsearch.fit(x_train, y_train)
print('logistic model best_score_ is {0},and best_params_ is {1}'.format(lr_gsearch.best_score_,lr_gsearch.best_params_))##用最优参数,初始化Logistic模型
LR_model_2 = LogisticRegression(C=lr_gsearch.best_params_['C'], penalty='l2',class_weight=lr_gsearch.best_params_['class_weight'],max_iter=lr_gsearch.best_params_['max_iter'])
##训练Logistic模型
LR_model_fit = LR_model_2.fit(x_train, y_train)
print ('逻辑回归的准确率为:{0:.2f}%'.format(LR_model_fit.score(x_test, y_test) *100))

八、模型检验
8.1.测试集预测值与真实的好坏样本分布图
from sklearn.metrics import precision_recall_curve
#预测概率值
y_score_test = LR_model_fit.predict_proba(x_test)[:,1]
##计算不同概率阈值的精确召回对
test_precision,test_recall,thresholds=precision_recall_curve(y_test,y_score_test)
##区分测试集中真实的好坏样本数据
df_pre_all = pd.DataFrame({'y_score':y_score_test,'y_test':y_test})
df_pre_good = df_pre_all.loc[df_pre_all["y_test"]==0,]
df_pre_good = df_pre_good.sort_values(["y_score"])
df_pre_bad = df_pre_all.loc[df_pre_all["y_test"]==1,]
df_pre_bad = df_pre_bad.sort_values(["y_score"])
##结果绘图
plt.figure(figsize=(10,6))
plt.rcParams["font.family"]=['SimHei']
plt.rcParams['axes.unicode_minus']=False
plt.hist(df_pre_good["y_score"],bins=100,color='r',alpha=0.5,rwidth=0.6,density=True,label='好样本')
plt.hist(df_pre_bad['y_score'],bins=100,color='b',alpha=0.5,rwidth=0.6,density=True,label='坏样本')
plt.legend()
plt.title('好坏样本分布直方图')
plt.xlabel('predict y proba')
plt.ylabel('count')
plt.show()

8.2.混淆矩阵及PR曲线
from sklearn.metrics import confusion_matrix
from sklearn.metrics import recall_score
from sklearn.metrics import precision_score
from sklearn.metrics import accuracy_score
from sklearn.metrics import f1_score
##计算混淆矩阵、P、R 与f1-score
y_pred = LR_model_fit.predict(x_test) #返回预测分类值数组
cnf_matrix = confusion_matrix(y_test, y_pred, labels=[0,1]) #建立混淆矩阵
recall_value = recall_score(y_test, y_pred)
precision_value = precision_score(y_test, y_pred)
acc = accuracy_score(y_test, y_pred)
f1 = f1_score(y_test, y_pred)
print(cnf_matrix)
print('Validation set: model recall is {0},and percision is {1},and f1-score is {2}'.format(recall_value,precision_value,f1))
###绘制混淆矩阵
f,ax=plt.subplots()
sns.heatmap(cnf_matrix,annot=True,ax=ax) #画热力图
ax.set_title('混淆矩阵') #标题
ax.set_xlabel('predict') #x轴
ax.set_ylabel('true') #y轴
plt.show()##绘制pr曲线,需要用到上面计算的不同概率阈值的精确召回对
#计算不同概率阈值的精确召回对
test_precision,test_recall,thresholds=precision_recall_curve(y_test,y_score_test)
plt.figure(figsize=(12,6))
lw = 2
fontsize_1 = 16
plt.plot(test_recall,test_precision,color='darkorange',lw=lw)
plt.plot([0,1],[0,1],color='navy',lw=lw,linestyle='--')
plt.xlim([0.0,1.0])
plt.ylim([0.0,1.05])
plt.xticks(fontsize=fontsize_1)
plt.yticks(fontsize=fontsize_1)
plt.xlabel('Recall',fontsize=fontsize_1)
plt.ylabel('Precision',fontsize=fontsize_1)
plt.title('PR曲线',fontsize=fontsize_1)
plt.show()


#给各变量赋值
# TP:表示预测为坏样本,实际上也是坏样本,正确拒绝的样本数 (130)
TP = cnf_matrix[1,1]
# FP:表示预测为坏样本,实际上是好样本,错误拒绝的样本数 (60)
FP = cnf_matrix[0,1]
# FN:表示预测为好样本,实际上是坏样本,漏报的样本,被错误准入的样本数 (10)
FN = cnf_matrix[1,0]
# TN:表示预测为好样本,实际上是好样本,正确准入的样本数 (80)
TN = cnf_matrix[0,0]
#我们知道在评分卡业务场景下更关注坏账率和通过率,理想的评分卡模型是最大化通过率,最小坏账率
pt = (FN+TN)/(FN+TN+TP+FP)#通过率
bd = FN/(FN+TN) #坏账率
E = (FN+FP)/(FN+FP+TP+TN) #错误率
Acc = (TP+TN)/(FN+FP+TP+TN) #精度
Recall = TP/(TP+FN) #召回率 :即所有坏样本中找到多少坏样本
Precisoin = TP/(TP+FP) #精准率:衡量所有模型预测为正例的样本中真实为正例的概率(一部分好样本预测成坏样本了)print(f"通过率为:pt = {pt}")
print(f"坏账率为:bd = {bd}")
print(f"错误率为:E = {E}")
print(f"精度为:Acc = {Acc}")
print(f"召回率为:Recall = {Recall}")
print(f"精确率为:Precisoin = {Precisoin}")

#PR曲线中,我们求平衡点(BEP)来衡量,BEP越大,模型性能越好,更好的指标是F1
F1 = (2*Precisoin*Recall)/(Precisoin+Recall)
print(F1)

8.3.ROC曲线
from sklearn.metrics import roc_curve
from sklearn.metrics import auc
#真阳性率(TPR),假阳性率(FPR)
#我们目的是希望FPR尽可能小,TPR尽可能大
##计算TPR FPR ROC曲线 AUC AR gini等
fpr, tpr, thresholds = roc_curve(y_test, y_score_test)
roc_auc = auc(fpr, tpr)
ar = 2*roc_auc-1 #Gini系数时往往用ROC曲线曲线和中线围成的面积与中线之上面积的比例,也就是Gini=2AUC-1
gini = ar
ks = max(tpr - fpr)
print('test set: model AR is {0},and ks is {1},auc={2}'.format(ar,ks,roc_auc))
##绘制ROC曲线
plt.figure(figsize=(10,6))
lw = 2
fontsize_1 = 16
plt.plot(fpr,tpr,color='darkorange',lw=lw,label='ROC curve(area=%.2f)' % roc_auc)
plt.plot([0,1],[0,1],color='navy',lw=lw,linestyle='--')
plt.xlim([0.0,1.0])
plt.ylim([0.0,1.05])
plt.xticks(fontsize=fontsize_1)
plt.yticks(fontsize=fontsize_1)
plt.xlabel('FPR',fontsize=fontsize_1)
plt.ylabel('TPR',fontsize=fontsize_1)
plt.title('ROC曲线',fontsize=fontsize_1)
plt.legend(loc='lower right',fontsize=fontsize_1)
plt.show()

九、评分卡构建
理论部分读者注意文章开头的知识准备
9.1.基础得分
lr = LR_model_fit
B = 20/np.log(2)
A = 600 + B*np.log(1/60)
base_score = A - B*lr.intercept_#lr.intercept_:截距
base_score
9.2.各评分结果
X = data_train_woe[[i for i in data_train_woe.columns if i!='target']]
df_fen = pd.DataFrame(columns = ['属性','区间','分数'])
list_key =[] #1.保存每一列的列名
list_value = [] #2.保存每一变量的区间(也叫分箱区间)
score_list=[] #3.保存每一个分箱的分数
list_key.append('基础得分')
list_value.append('无')
score_list.append(int(base_score))
for i,col in enumerate(X.columns):#[*enumerate(X.columns)]list2 = []list3 = []for key,value in woeall[col].items():# print(value)list2.append(value)list3.append(key)score = np.array(list2) * (-B*lr.coef_[0][i])for j in range(len(list3)):list_key.append(col)list_value.append(list3[j])score_list.append(score[j])list2 = []list3 = []
df_fen['属性'] = list_key
df_fen['区间'] = list_value
df_fen['分数'] = score_list
df_fen['分数取整'] = df_fen['分数'].round()

df_fen.to_csv('评分卡分数.csv',header=True)
最后对评分卡进行规范化以及考虑使用该评分卡的用户的友好体验,对评分表进行优化:
1.增加没一个区间(分箱)的含义
2.基础分转化为100分
3.增加评分卡的使用说明
部分内容如下:


参考:
PYTHON机器学习之用逻辑回归制作评分卡(个人消费类贷款数据案例实战)
信用评分卡建模—基于German Credit德国信用数据集
《python金融大数据风控建模实战-基于机器学习》
本文来自互联网用户投稿,文章观点仅代表作者本人,不代表本站立场,不承担相关法律责任。如若转载,请注明出处。 如若内容造成侵权/违法违规/事实不符,请点击【内容举报】进行投诉反馈!
