商品推荐协同算法 excel
-
用户的协同过滤
示例数据

购买次数
整理数据:
1为购买,0为未购买

利用jaccard计算相似度
适合计算买与不买,不包含喜欢程度

商品之间相似度:

- 用户之间相似度:

- 预测

********************************************************************************************************
示例数据
商品评分


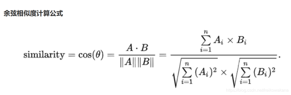
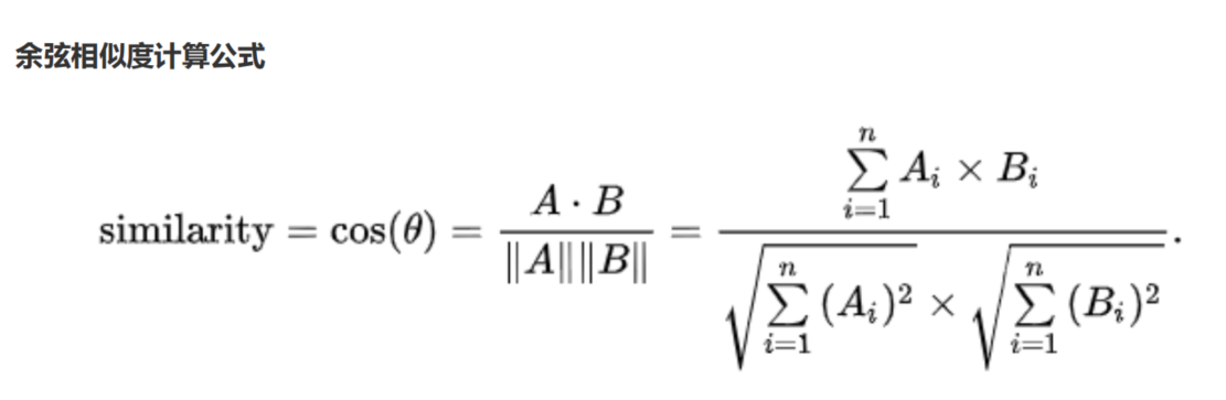
- 相似度计算:

AB相似度:sumproduct(A,B)/ [sqrt(25+1)*sqrt(16+16+1)]
- 预测:
用户A对商品3的喜好程度= 用户A与用户B的相似度 * 用户B对商品3的商品评分 + 用户A与用户C的相似 度 * 用户C对商品3的商品评分

------------------------------------------------------------------------------------------------------------------------
商品的协同过滤
原始数据:
整理数据: 0未购买 ,1购买


- 相似度计算:

- 预测:
- 用户 A 对商品 3 的喜好程度 = 商品 1 与商品 3 的相似度 * 用户 A 对 商品 1 的购买次数 + 商品 2 与商品 3 的相似 度 * 用户 A 对商品 2 的购买次数

********************************************************************************************************

- 相似度计算:

- 预测:
- 用户 A 对商品 3 的喜好程度 = 商品 1 与商品 3 的相似度 * 用户 A 对 商品 1 的评价 + 商品 2 与商品 3 的相似度 * 用户A 对商品 2 的评价

hive这个作业做得太艰辛了T^T~~~~~~
本文来自互联网用户投稿,文章观点仅代表作者本人,不代表本站立场,不承担相关法律责任。如若转载,请注明出处。 如若内容造成侵权/违法违规/事实不符,请点击【内容举报】进行投诉反馈!
