矩阵基础1-矩阵的基本知识
文章目录
- 一. 矩阵的概念
- 1.1 运动会成绩记录
- 1.2 什么是矩阵
- 1.3 矩阵与向量
- 1.4 矩阵相等
- 1.5 方阵
- 1.6 单位矩阵
- 1.7 负矩阵、上三角阵、下三角阵
- 1.8 对角方阵
- 1.9 零矩阵
- 二. 矩阵的线性运算
- 三. 矩阵的乘法
- 四. 矩阵的逆
- 4.1 矩阵转置
- 4.2 对称矩阵
- 4.2 可逆矩阵
- 五. 矩阵的行列式
- 5.1 分块矩阵
- 5.2 二阶行列式
- 5.3 三阶行列式
- 5.4 n阶行列式
- 5.5 特殊矩阵的行列式
- 5.6 行列式的性质
- 参考:
一. 矩阵的概念
1.1 运动会成绩记录

我们通过对上图中的表格分析,可以知道每个系获得第一名、第二名、第三名、第四名以及第五名的个数。
然后每个名词对应的积分以及奖金都已经规定。

1.2 什么是矩阵

上一节中运动会案例刚好就是一个矩阵:

1.3 矩阵与向量

复数可以分为两类数:实数、虚数。
实数包括有理数和无理数。
形如“a+bi”、“bi”(a、b∈R,并且b≠0)的复数都是虚数。
1.4 矩阵相等

1.5 方阵

1.6 单位矩阵

1.7 负矩阵、上三角阵、下三角阵

1.8 对角方阵

1.9 零矩阵

二. 矩阵的线性运算
矩阵 加法、减法和数乘:
减法其实就是加法的逆运算,此处省略


矩阵加法举例:
把100米与200米的名次汇总即可

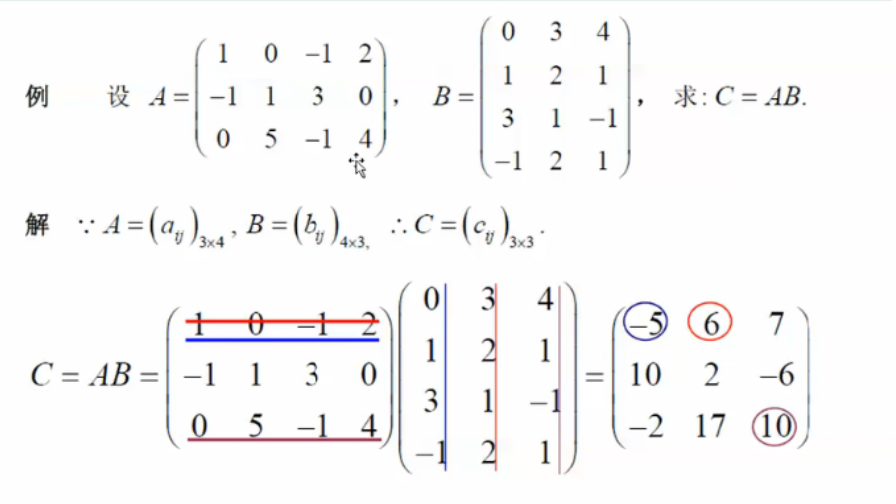
三. 矩阵的乘法
矩阵乘法公式:


矩阵乘法举例:
把100米与200米的名次汇总后在 乘以 对应的积分与奖金

例2

例3

例4

矩阵乘法运算规则:

四. 矩阵的逆
4.1 矩阵转置


4.2 对称矩阵


4.2 可逆矩阵



五. 矩阵的行列式
行列式就是一组数排在一起。
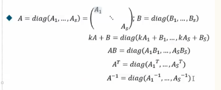
5.1 分块矩阵

分块矩阵的乘法:

分块方法:

分块矩阵的转置:

5.2 二阶行列式

5.3 三阶行列式

5.4 n阶行列式

5.5 特殊矩阵的行列式

5.6 行列式的性质


参考:
- http://www.dataguru.cn/article-4621-1.html
- https://www.zhihu.com/question/21082351/answer/1023650088
- https://baijiahao.baidu.com/s?id=1660241770276728313&wfr=spider&for=pc
本文来自互联网用户投稿,文章观点仅代表作者本人,不代表本站立场,不承担相关法律责任。如若转载,请注明出处。 如若内容造成侵权/违法违规/事实不符,请点击【内容举报】进行投诉反馈!
