Fourier Series 傅立叶级数 学习笔记Part 2
Part 2 按我的理解,会包括下面的三个部分,区间变换和奇偶函数变换。
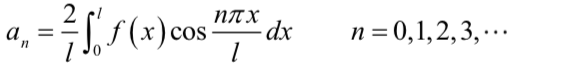
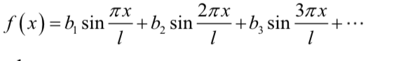
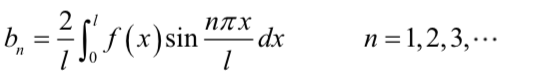
区间变换
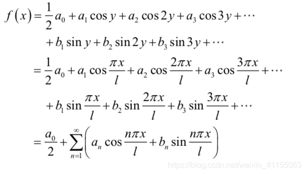
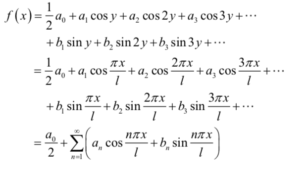
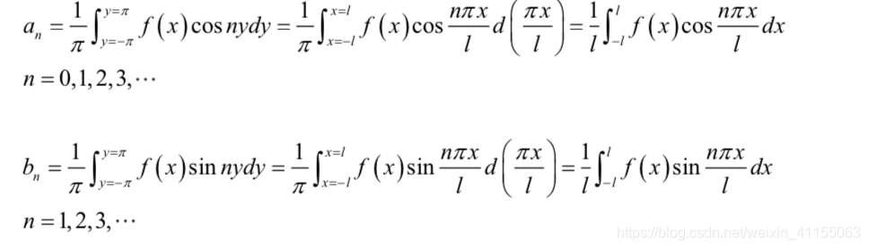
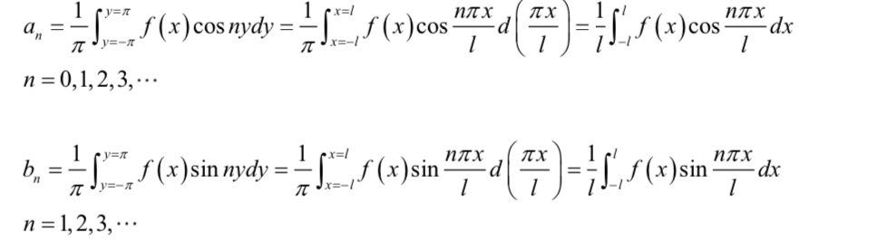
在part 1 里,我们的区间范围是 [ − π , π ] [-\pi,\pi] [−π,π],世界上哪来那么多正正好好的周期是 2 π 2\pi 2π的周期函数。那么就要变换。
这里的变换也很简单 y = π x / l y=\pi x/l y=πx/l,然后函数就变成了关于y的周期是 2 π 2\pi 2π的周期函数。


整理之后的样子,我想,大多数的学渣,如我,都是会的东西局限到这里或者是下面的部分

奇偶函数
接上式
偶函数
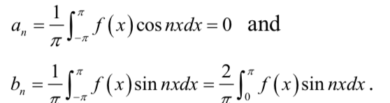
偶函数就是 b n = 0 b_{n}=0 bn=0


奇函数
奇函数就是 a n = 0 a_{n}=0 an=0


我们可以看到在奇偶函数的系数中积分上下限发生了变化,这是利用函数的对称性在做积分时做的变换。
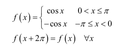
奇偶函数的延伸
这一部分给我的感觉就是之前的所有的内容的综合应用。
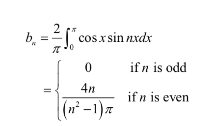
我先把结果放上来

函数是

思路是,首先这个函数是一个奇函数,应该按照奇函数的方式处理系数。

对 b n b_{n} bn化简,然后对n的奇偶性进行分段

化简之后可以得到

下一步就是对 [ − π , 0 ] [-\pi,0] [−π,0]的情况的进行处理
然后画图就可以通过n的增大,不断趋近于原函数。
此处有用到狄利克雷定理。
这是Numerical Methods and Modeling in Science 讲傅立叶XX的第一讲,看是可以看懂的。
后面逐渐进入到我理解不了的状态。。。
More Practice!
本文来自互联网用户投稿,文章观点仅代表作者本人,不代表本站立场,不承担相关法律责任。如若转载,请注明出处。 如若内容造成侵权/违法违规/事实不符,请点击【内容举报】进行投诉反馈!
