常用距离计算方法:
常用距离计算方法:
欧氏距离(欧几里得距离)
曼哈顿距离
闵可夫斯基距离
切比雪夫距离
余弦距离
距离计算
欧式距离
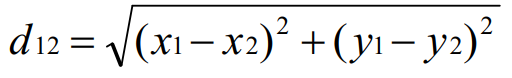
二维欧式距离公式如下:

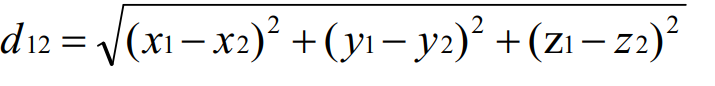
衍生三维欧式距离公式如下:

归纳N维欧式距离公式如下:

曼哈顿距离在几何空间中用的比较多。

二维平面两点a(x1,y1)与b(x2,y2)间的曼哈顿距离:

n维空间点(x11,x12,...,x1n)与b(x21,x22,...,x2n)的曼哈顿距离:
切比雪夫距离
在国际象棋中,国王可以直行、横行、斜行,所以国王走一步可以移动到相邻8个方格中的任意一个。国王从格子(x1,y1)走到格子(x2,y2)最少需要多少步?这个距离就叫切比雪夫距离。

二维平面两点a(x1,x2)与b(x2,y2)间的切比雪夫距离:
n维空间点a(x11,x12,...,x1n)与b(x21,x22,...,x2n)的切比雪夫距离:

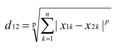
闵式距离是一类距离的统称,是对多个距离度量公式的概括性的表述。
两个n维变量a(x11,x12,…,x1n)与b(x21,x22,…,x2n)间的闵可夫斯基距离定义为:

其中p是一个变参数:
u 当p=1时,就是曼哈顿距离;
u 当p=2时,就是欧氏距离;
u 当p→∞时,就是切比雪夫距离
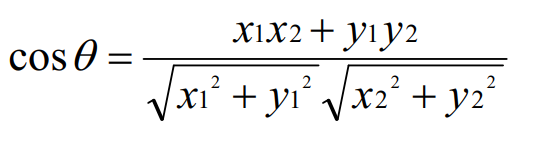
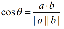
余弦距离实际上计算的是两个向量的夹角,是在方向上计算两者之间的差异,对绝对数值不敏感。
二维空间中向量A(x1,y1)与向量B(x2,y2)的夹角余弦公式:

两个n维样本点a(x11,x12,…,x1n)和b(x21,x22,…,x2n)的夹角余弦为:
本文来自互联网用户投稿,文章观点仅代表作者本人,不代表本站立场,不承担相关法律责任。如若转载,请注明出处。 如若内容造成侵权/违法违规/事实不符,请点击【内容举报】进行投诉反馈!
