正交投影,如何抽象化理解最小二乘问题,加权最小二乘、递归最小二乘以及时间衰减递归最小二乘的推导
文章目录
- 正交投影(最佳逼近)问题
- 最小二乘方法
- 如何抽象化理解最小二乘的几何解释
- 加权最小二乘
- 递归最小二乘
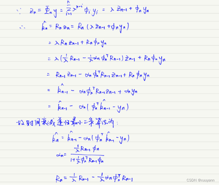
- 时间衰减递归最小二乘
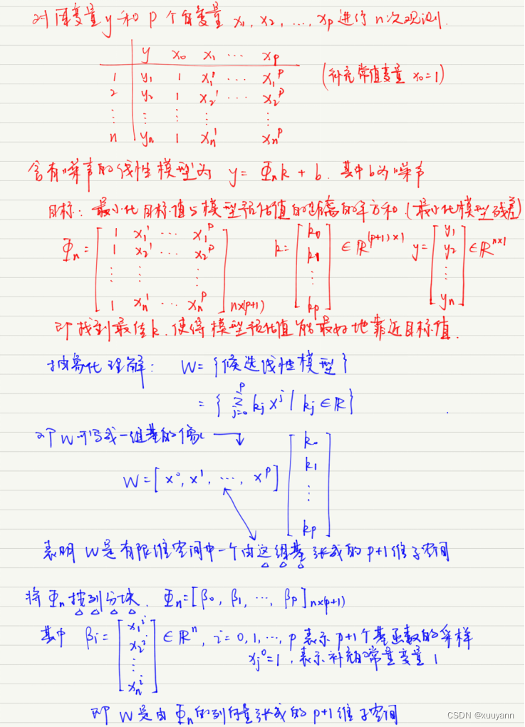
正交投影(最佳逼近)问题




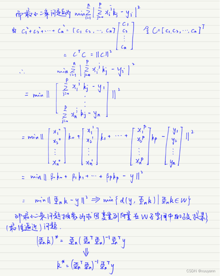
最小二乘方法




如何抽象化理解最小二乘的几何解释



加权最小二乘
https://blog.csdn.net/jhshanvip/article/details/105896776


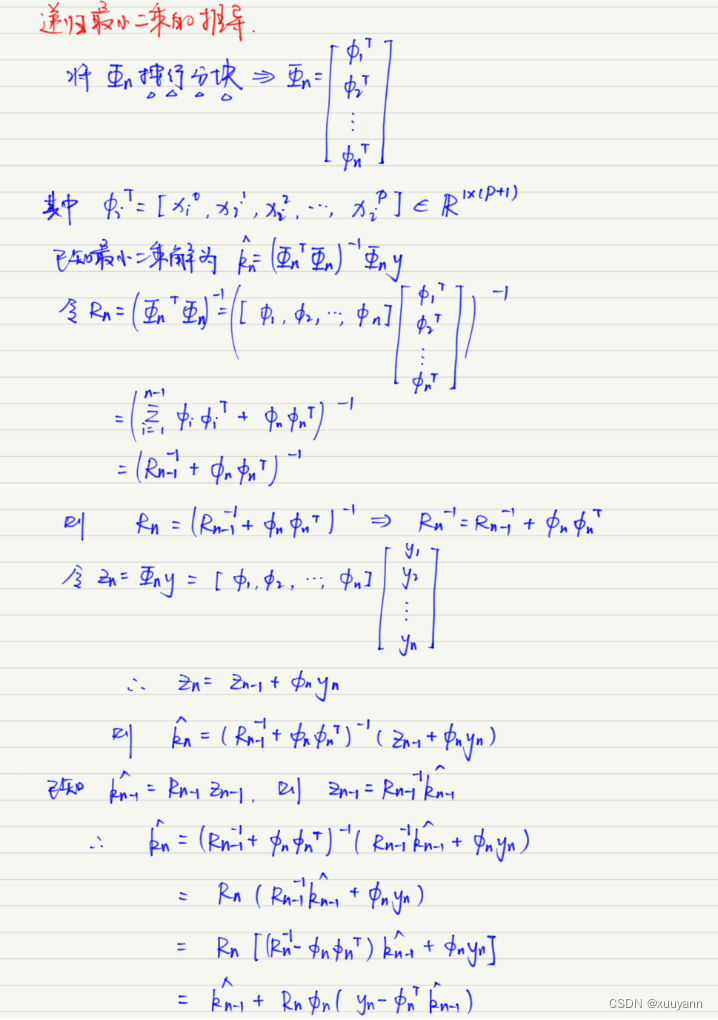
递归最小二乘



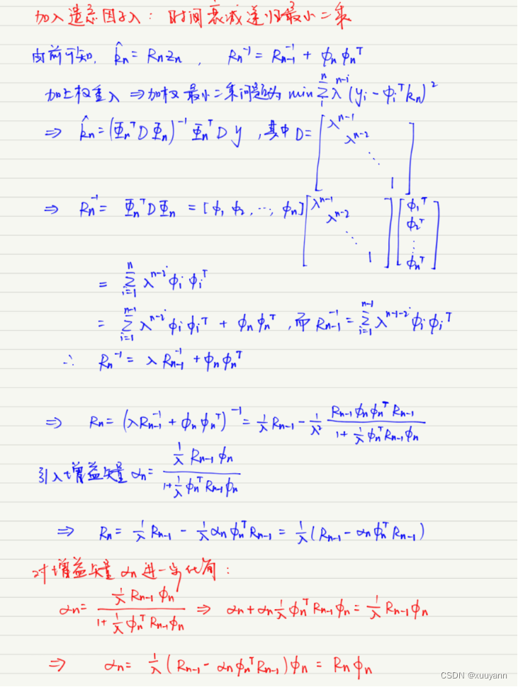
时间衰减递归最小二乘



参考文献
5.4 加权最小二乘法
线性回归与递归最小二乘算法 (R.L.S algorithm)
5.3 递归最小二乘法
递推最小二乘推导(RLS)
本文来自互联网用户投稿,文章观点仅代表作者本人,不代表本站立场,不承担相关法律责任。如若转载,请注明出处。 如若内容造成侵权/违法违规/事实不符,请点击【内容举报】进行投诉反馈!
