二叉树的前序遍历、中序遍历和后序遍历
二叉树:
二叉树(Binary tree)是树形结构的一个重要类型。许多实际问题抽象出来的数据结构往往是二叉树形式,即使是一般的树也能简单地转换为二叉树,而且二叉树的存储结构及其算法都较为简单,因此二叉树显得特别重要。二叉树特点是每个节点最多只能有两棵子树,且有左右之分 。
二叉树是n个有限元素的集合,该集合或者为空、或者由一个称为根(root)的元素及两个不相交的、被分别称为左子树和右子树的二叉树组成,是有序树。当集合为空时,称该二叉树为空二叉树。在二叉树中,一个元素也称作一个节点 。
记住要点:
前序(根左右)、中序(左根右)、后序(左右根)
可以看到,说的前中后序其实指的是根在遍历时的位置
示例:

前序遍历:A–>B–>D–>F–>G–>H–>I–>E–>C
中序遍历:F->D–>H–>G–>I–>B–>E–>A–>C
后序遍历:F–>H–>I–>G–>D–>E–>B–>C–>A
Java编程实现:
144. 二叉树的前序遍历
难度:简单
题目描述:
给你二叉树的根节点 root ,返回它节点值的 前序 遍历。
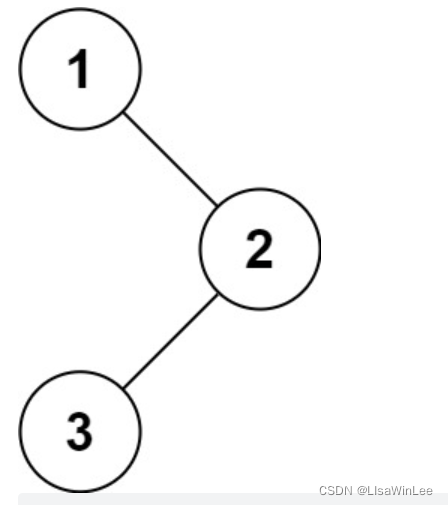
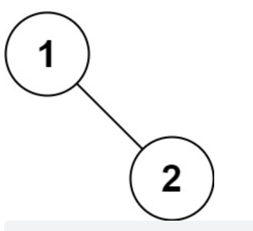
示例 1:

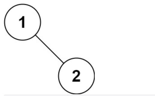
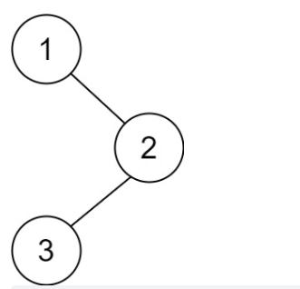
输入:root = [1,null,2,3]
输出:[1,2,3]
示例 2:

输入:root = []
输出:[]
示例 3:
输入:root = [1]
输出:[1]
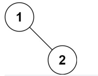
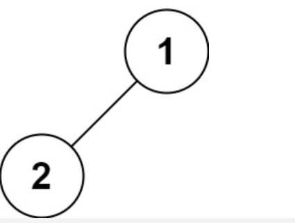
示例 4:

输入:root = [1,2]
输出:[1,2]
示例 5:

输入:root = [1,null,2]
输出:[1,2]
Java程序:
/*** Definition for a binary tree node.* public class TreeNode {* int val;* TreeNode left;* TreeNode right;* TreeNode() {}* TreeNode(int val) { this.val = val; }* TreeNode(int val, TreeNode left, TreeNode right) {* this.val = val;* this.left = left;* this.right = right;* }* }*/
class Solution {public List preorderTraversal(TreeNode root) {List res = new ArrayList();preorder(root, res);return res;}public void preorder(TreeNode root, List res){if(root == null){return;}res.add(root.val);preorder(root.left, res);preorder(root.right, res);}
}
94. 二叉树的中序遍历
难度:简单
题目描述:
给定一个二叉树的根节点 root ,返回它的 中序 遍历。
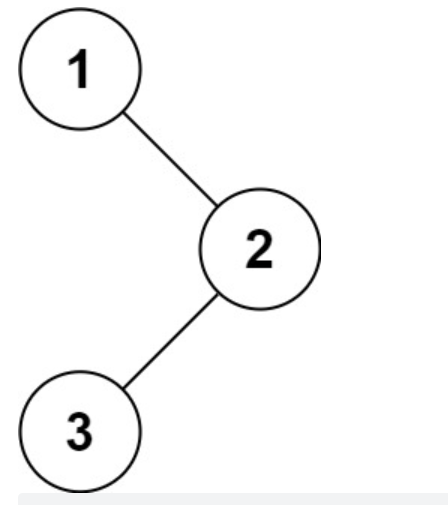
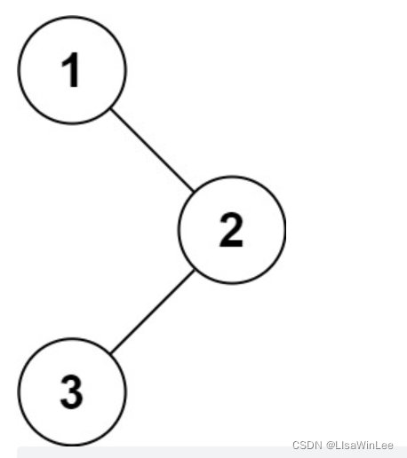
示例 1:

输入:root = [1,null,2,3]
输出:[1,3,2]
示例 2:
输入:root = []
输出:[]
示例 3:
输入:root = [1]
输出:[1]
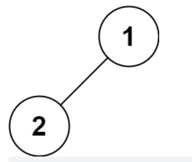
示例 4:

输入:root = [1,2]
输出:[2,1]
示例 5:

输入:root = [1,null,2]
输出:[1,2]
Java程序:
/*** Definition for a binary tree node.* public class TreeNode {* int val;* TreeNode left;* TreeNode right;* TreeNode() {}* TreeNode(int val) { this.val = val; }* TreeNode(int val, TreeNode left, TreeNode right) {* this.val = val;* this.left = left;* this.right = right;* }* }*/
class Solution {public List inorderTraversal(TreeNode root) {List res = new ArrayList();inorder(root, res);return res;}public void inorder(TreeNode root, List res){if(root == null){return;}inorder(root.left, res);res.add(root.val);inorder(root.right, res);}
}
145. 二叉树的后序遍历
难度:简单
题目描述:
给你一棵二叉树的根节点 root ,返回其节点值的 后序遍历 。
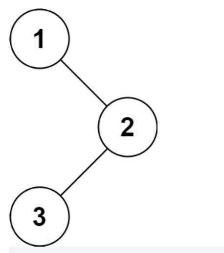
示例 1:

输入:root = [1,null,2,3]
输出:[3,2,1]
示例 2:
输入:root = []
输出:[]
示例 3:
输入:root = [1]
输出:[1]
Java程序:
/*** Definition for a binary tree node.* public class TreeNode {* int val;* TreeNode left;* TreeNode right;* TreeNode() {}* TreeNode(int val) { this.val = val; }* TreeNode(int val, TreeNode left, TreeNode right) {* this.val = val;* this.left = left;* this.right = right;* }* }*/
class Solution {public List postorderTraversal(TreeNode root) {List res = new ArrayList ();postorder(root, res);return res;}public void postorder(TreeNode root, List res){if(root == null){return;}postorder(root.left, res);postorder(root.right, res);res.add(root.val);}
}
本文来自互联网用户投稿,文章观点仅代表作者本人,不代表本站立场,不承担相关法律责任。如若转载,请注明出处。 如若内容造成侵权/违法违规/事实不符,请点击【内容举报】进行投诉反馈!
