同态加密算法之paillier算法
同态加密算法
-
半同态加密算法
- 全同态加密算法
算法过程
- 秘钥生成,现在假设有两方,分别是A B,两者之间需要进行加密通信。
- 首先A选择两个非常大的素数p q
- 计算p和q的乘积n,n=p*q
- 计算 (p-1)和(q-1)的最小公倍数λ,λ=lcm(p-1,q-1)
- 选择随机数g,g∈
- 定义函数
, 并计算模反元素
- 生成公钥对public-key (n,g)
- 生成私钥对private-key (λ,μ)
- 加密过程,现在假设b要加密明文m,且b已知公钥(n,g)
- 选择一个随机数r,0
- 计算加密后的密文,
- 选择一个随机数r,0
- 解密过程,现在假设c是b方发送的密文
- 计算明文,
- 计算明文,
算法理论
- 算法理论部分参考博主算法理论部分的证明,先去看这位博主的推理过程,下面我给出一些证明过程时我的一些疑问与解答
- 由二项式定理展开可知,
- 可以作出假设,令
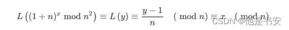
- 此时可以简化成为,
(为什么不是
) ①
- 此时可以令,
,把y的值带入L(μ),得到结论
此时,带入当时,即
,可以得到结论
,证明过程如下(纯手敲公式太麻烦啦!!偷个懒哈)

- 此外还能得到结论,
(此处使用了卡米切尔定理),证明过程如下

- 此时就可以计算加法的同态性了 证明过程如下,用到的公式是这两个


- 由二项式定理展开可知,
- 一些疑问与解答
- ZN*是个什么东西,为什么m要在其范围内?
- ZN∗表示模n的乘法群,也就是{1,2,...,n-1}。由于paillier算法基于RSA算法,要求明文m的范围在n的乘法群内,这是为了满足gcd(m, n)=1,保证m的逆元素存在。如果m超出这个范围,将无法正确解密。
- 为什么g的选择范围在ZN^2*内?
- 确保任意g^x都在ZN^2∗内;使得c也在ZN^2∗内,以完成正确的加密运算
- 在算法理论部分提到的g=n+1是必须满足的?
- 是为了简化计算,加快算法速度。它不是必须的,算法也可以选择其他g值,只要保证gcd(L(g^x mod n^2), n)=1(x为任意整数),算法依然正确。
- paillier算法实现的到底是什么?
- paillier算法实现的是加法同态。我们一般希望密文计算的结果和我们明文计算的结果相同,所以对于密文上是如何计算的不做要求。这时我们在明文上实现了加法的目的,就叫它加法同态。密文乘等于明文加(c1*c2)= m1+m2
- 为什么μ的定义为:μ = L(g^λ mod n^2)^-1 mod n?
- 1. 在解密过程中,我们需要对密文c进行除以g的λ次方的运算,以恢复明文m。
- 2. 但是在整数环Zn上只有乘法运算,没有除法运算。所以无法直接进行c / (g^λ)的运算。
- 加密过程为什么要定义为c = g^m * r^n mod n^2呢?为什么加密要模n^2呢?
- 隐藏明文m的具体值,只泄露模n^2的值,满足算法安全性;
- 引入随机数r增加密文随机性,提高算法安全性;
- 2. 使得解密算法成立,可以正确恢复明文m。
Paillier算法的解密函数为:m = L(c^λ mod n^2) * μ mod n
这里λ为私钥,μ为计算立方根的辅助参数。
只有当采用模n^2运算时,c^λ mod n^2才能通过λ求出m的立方根,并且与μ相乘得到m。
如果采用模n运算,则c^λ mod n无法通过λ求出m的立方根,解密算法将无法工作,无法正确恢复明文m。 - 1. 保证密文c的大小与明文m相当,从而隐藏明文信息。
如果直接采用模n,则由于n远大于m,密文c的大小会远大于m,这会泄露明文信息,影响算法的安全性。
采用模n^2,可以使密文c的大小与m相当,避免泄露明文信息。
- 为什么解密要定义为L(c^λ mod n^2) * μ mod n呢?
- 得到c^λmodn^2。这一步的目的是将密文c还原到Zn上。然后调用L算法计算乘法逆元,目的是为了在Zn上进行除法运算
- 将立方根与μ相乘可以消除负解,得到唯一的m;
- 采用模n运算隐藏m的具体大小,只泄露在[0,n-1]范围内的值,保证安全性。
- ZN*是个什么东西,为什么m要在其范围内?
其实我看完算法后也还有很多不理解,只大概了解了加解密的规则与过程。更多需要深挖的知识我没去看,所以有些疑问不能解答是我水平太低啦!!!如果有问题可以在评论区提问,也可以参考这篇文章哈
https://blog.csdn.net/qq_40589204/article/details/116310125
我觉得过程讲的很细,但是中间有一些规则为什么要这么定义并没有抛出来,这部分还需要自己去找答案。加油!
本文来自互联网用户投稿,文章观点仅代表作者本人,不代表本站立场,不承担相关法律责任。如若转载,请注明出处。 如若内容造成侵权/违法违规/事实不符,请点击【内容举报】进行投诉反馈!
