c语言递归系列总结
递归总结
- 递归
- 什么是递归
- 递归的特点 结构 缺点
- 递归的本质
- 递归的应用
- 递归实战
- 阶乘
- 阶乘递归解法
- 阶乘普通解法
- 斐波拉契数列
- 斐波拉契数列递归解法
- 斐波拉契数列普通解法
- 汉诺塔
- 输出一个数字的每一位
- 普通解法
- 递归解法
- 倒序保存字符串
- 递归解法
递归
什么是递归
递归简而言之就是函数自己调用自己 如图所示

但是递归并不是简简单单的自己调用自己的过程 它分为 传递 和 回归,传递就是橙色箭头 回归则是黑色箭头 这就是递归
以 计算阶乘为例,假设我们输入6 计算6的阶乘为例
#define _CRT_SECURE_NO_WARNINGS
#include
int factorial(int x) //递归体函数
{if (x == 1){return 1; }return x * (factorial(x - 1));
}
int main()
{int i = 0;scanf("%d", & i);int k = factorial(i);printf("%d", k);return 0;
}
具体实现过程如下 我们可以很清楚看到 先传递 在归一 就是递归

递归的特点 结构 缺点

递归的本质
在传递的过程将问题化简 归一的过程将化简的问题解决
递归的应用
(1). 问题的定义是按递归定义的(Fibonacci函数,阶乘,…);
(2). 问题的解法是递归的(有些问题只能使用递归方法来解决,例如,汉诺塔问题,…);
(3). 数据结构是递归的(链表、树等的操作,包括树的遍历,树的深度,…)
递归实战
阶乘
阶乘递归解法
#define _CRT_SECURE_NO_WARNINGS
#include
int factorial(int x) // 递归体
{if (x == 1)// 函数出口{return 1; }return x * (factorial(x - 1));//就x!转换成X*((x-1)!) 达到传递化简的目的
}
int main()
{int i = 0;scanf("%d", & i);int k = factorial(i);printf("%d", k);return 0;
}
阶乘普通解法
#define _CRT_SECURE_NO_WARNINGS
#include
int main()
{int k = 0;scanf("%d", &k);int i = 0;int sum = 1;for (i = 1; i < k + 1; i++){sum = sum * i; //利用循环累乘 最后打印}printf("%d", sum);return 0;
}
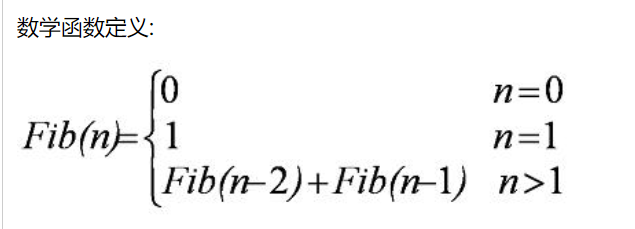
斐波拉契数列
斐波拉契数列 即0、1、1、2、3、5、8、13、21、34、………这样一串数字

斐波拉契数列递归解法
递归解法通过数学函数定义可轻松得到 他的递归体
是当n>1时 fib(n-2)+fib(n-1)
递归出口就是n=0 返回0,n=1,返回1
#define _CRT_SECURE_NO_WARNINGS
#include
int fib(int x) //第0个元素为0 第一个元素为1
{if (x == 0){return 0;}else if (x == 1) //出口{return 1;}elsereturn fib(x - 2) + fib(x - 1); //循环体
}int main()
{int k = 0;scanf("%d", &k);int sum = fib(k);printf("%d", sum);return 0;
}
斐波拉契数列普通解法
#define _CRT_SECURE_NO_WARNINGS
#include int fib(int x)
{int i = 0;int j = 1;int k = 0;int m = 0;for (m = 0; m < x-1; m++){k = i + j;i = j;j = k;}return k;
}int main()
{int k = 0;scanf("%d", &k);int sum = fib(k);printf("%d", sum);return 0;
}
汉诺塔
汉诺塔简单了解
输出一个数字的每一位
如 输入 1234 输出 1 2 3 4
普通解法
这里用取对数的方法得到有多少位 依次除以位数的10次方 即可
#define _CRT_SECURE_NO_WARNINGS
#include
#include
void elect(int x)
{printf("逆序输出");float k = 0.1;int m = 0;do{m = x % 10;k = k * 10;printf("%d是%f位",m,k);x = x / 10;if (x < 9){k = k * 10;printf("%d是%f位", m, k);break;}} while (1);printf("\n \n");
}
void elect2(int x)
{printf("顺序输出");int digit = log10(x) ;int i = 0;int m = 0;for (i = pow(10, digit); i >0; i = i / 10){m = x / i;printf("%d ", m);x = x % i;}}
int main()
{int k = 0;scanf("%d", &k);//elect(k);elect2(k);return 0;
}
递归解法
#define _CRT_SECURE_NO_WARNINGS
#include
void elect(int x)
{ if (x > 9){elect(x / 10); //递归体 通过除以10 来使得问题更接近正确答案}printf("%d ", x % 10);//出口}
int main()
{int k = 0;scanf("%d", &k);elect(k);return 0;
}
倒序保存字符串
将参数字符串中的字符反向排列,不是逆序打印
递归解法
#define _CRT_SECURE_NO_WARNINGS
#include
#include
#include
#include
void reverse_string(char arr[])
{int sz = strlen(arr);int tmp = *arr;*arr = *(arr + sz - 1); //将最后一个和第一个互换*(arr + sz - 1) = '\0';// 将最后一个赋值为0if (strlen(arr) > 1)//如果不是最后一个则 指针后移{reverse_string(arr + 1);}*(arr + sz - 1) = tmp;
}
int main()
{char arr[] = "abcdef";reverse_string(arr);printf("%s\n", arr);
}
本文来自互联网用户投稿,文章观点仅代表作者本人,不代表本站立场,不承担相关法律责任。如若转载,请注明出处。 如若内容造成侵权/违法违规/事实不符,请点击【内容举报】进行投诉反馈!
