第二课:代数式-整式运算【重温数学】

代数式:用运算符号把数或表示数的字母连接而成的式子叫做代数式。单独的一个数或一个字母也是代数式。
| 1.式的内容及概念 |
结构图

有理式:包括分式和整式。这种代数式中对于字母只进行有限次加、减、乘、除和整数次乘方这些运算。

| 2.整式 |
整式:是有理式的一部分,在有理式中可以包含加,减,乘,除四种运算,但在整式中除数不能含有字母。单项式和多项式统称为整式。
单项式:只含有数字与字母的积的代数式叫做单项式。
注意:单项式是由系数、字母、字母的指数构成的,其中系数不能用带分数表示,如
,这种表示就是错误的,应写成
。一个单项式中,所有字母的指数的和叫做这个单项式的次数。如
是6次单项式。
多项式:几个单项式的和叫做多项式。其中每个单项式叫做这个多项式的项。多项式中不含字母的项叫做常数项。多项式中次数最高的项的次数,叫做这个多项式的次数。
| 2.整式的运算法则 |
整式的加减法:(1)去括号;(2)合并同类项。

| 几道例题 |

例1:求解:2001^2
这里只需要思维的动动你的小脑袋。把2001变化下。
解:=(2000+1)^2
=2000^2+2*2000*1+1^2
=4000000+4000+1
=4004001
例2:求解(a-2b+3c)(a+2b-3c)
解:=[a-(2b-3c)][a+(2b-3c)]
=a^2-(2b-3c)^2
=a^2-(4b^2-12bc+9c^2)
=a^2-4b^2-9c^2+12bc
例3:求解(x+2y+z)^2
解:=[(x+2y)+z]^2
=(x+2y)^2+2(x+2y)z+z^2
=x^2+4xy+4y^2+2xz+4yz+z^2
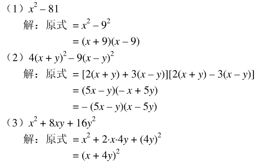
| 3.因式分解 |
定义: 把一个多项式化成几个整式的积的形式,叫做把这个多项式因式分解,也叫做把这个多项式分解因式。

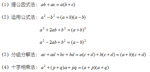
因式分解的常用方法

因式分解的一般步骤:
(1)如果多项式的各项有公因式,那么先提取公因式。
(2)在各项提出公因式以后或各项没有公因式的情况下,观察多项式的项数:2项式可以尝试运用公式法分解因式;
3项式可以尝试运用公式法、十字相乘法分解因式;
4项式及4项式以上的可以尝试分组分解法分解因式
(3)分解因式必须分解到每一个因式都不能再分解为止。
| 提公因式法 |


| 运用公式法 |


| 分组分解法 |
| 十字相乘法 |
| 结局 |
小弓箭手最后学好了数学!所以。。。。

转载于:https://www.cnblogs.com/hailan2012/archive/2012/01/15/2322683.html
本文来自互联网用户投稿,文章观点仅代表作者本人,不代表本站立场,不承担相关法律责任。如若转载,请注明出处。 如若内容造成侵权/违法违规/事实不符,请点击【内容举报】进行投诉反馈!
