ISM模型如何分析?
一、应用
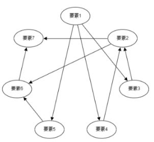
ISM是一种系统工程研究方法,其作用在于研究系统结构关系情况;比如下图(有向图)中,已知各要素间的影响关系情况,现希望使用解释结构模型将各种逻辑结构关系进行梳理,比如找出各要素的层级层次关系情况,此时则可以使用解释结构模型。

二、操作
SPSSAU操作
(1)点击SPSSAU综合评价里面的‘ISM’按钮。如下图

(2)拖拽数据后点击开始分析

三、案例背景
某当前有一系统图示如下,以及其数据格式对应如下:


PS:步骤如下:

四、分析
将数据放入分析框中,SPSSAU系统自动生成分析结果
1. 邻接矩阵

上表格为‘邻接矩阵’即为输入的数据矩阵,其展示要素间的逻辑影响关系情况。数字1代表两要素之间有影响关系,数字0代表两要素之间没有影响关系。右下三角对角线的数字一定为0,因为自己不可能影响自己。
针对‘邻接矩阵’,某列全部为0,则为‘输入端’,即只影响别的要素,不被别的要素影响,如果某行全部为0,则为‘输出端’,即只被别的要素影响,不影响别的要素。
2. 邻接矩阵与单位矩阵相加

将邻接矩阵与对应的单位矩阵进行矩阵相加,得到上表格矩阵。其目的在于得到‘可达矩阵’。
3. 可达矩阵

说明:可达矩阵’展示要素之间是否存在着连接路径;
第一:如果数字为1则表示某要素到另一要素之间存在着路径;
第二:如果数字为0则表示某要素到另一要素之间不存在路径。
4. 可达集合与先行集合及其交集表

说明:结合上一步‘可达矩阵’进行分解如上表结果;
第一:可达集合R,其表示‘可达矩阵’某要素对应行中,包含有1的元素集合;
第二:先行集合Q,其表示‘可达矩阵’某要素对应列中,包括有1的元素集合;
第三:交集A,其表示可达集合R和先行集合Q的交集。
5. 层次分解

说明:最后SPSSAU展示‘层次分解’结果,层次分解表格展示各要素的层次分布情况;比如上图中,最后系统可拆分成5个层次,分别每个层次中的要素已经列出,可通过层次分解图绘制出图形。
第一:层次分解目的在于了解各要素层次分布关系;
第二:顶层表示系统最终目标,往下各层分别表示 是上一层的原因;
第三:底层表示系统最初点原因,往上各层分别是下一层的结果。
6.绘制图形

SPSSAU在最后展示‘有向图’, ‘邻接矩阵’的图形化展示。
本文来自互联网用户投稿,文章观点仅代表作者本人,不代表本站立场,不承担相关法律责任。如若转载,请注明出处。 如若内容造成侵权/违法违规/事实不符,请点击【内容举报】进行投诉反馈!
