【论文阅读】stegoGAN 引用文献整理
使用可逆神经网络实现隐写嵌入和提取
参考链接:Lu S P, Wang R, Zhong T, et al. Large-Capacity Image Steganography Based on Invertible Neural Networks[C]//Proceedings of the IEEE/CVF Conference on Computer Vision and Pattern Recognition. 2021: 10816-10825.
论文中文版
1. 主要贡献
- 使用可逆隐写网络(ISN)实现隐写和恢复
- 负载率提升到 24~120 bpp
- 数量和质量都是目前的SOTA
2. 相关工作
-
传统图像隐写:主要有三种,负载率低
基于空域:LSB,PVD,直方图平移 histogram shifting, multiple bit-planes , palettes(调色板)
基于变换域:JSteg
自适应隐写:STC编码 -
基于深度学习的隐写:主要有四种
合成:GAN生成载体图像
生成修改概率图:生成满足最小失真嵌入的代价函数
对抗嵌入:最小失真下的对抗主题
3-player 游戏:HiDDeN and SteganoGAN,使用编码-解码网络
Deep Steganography使用全卷积网络,包括三个部分:准备,隐藏,恢复网络。
本文在隐藏和恢复过程中使用INN。
应用
LFM,StegaStamp,
Invertible Neural Networks (INN)
在相同网络中,前向和后向传播共享参数
3. 方法
3.1 概述

x h o x_{ho} xho:载体图像
x h i x_{hi} xhi:要隐藏的图像
y c o y_{co} yco:隐写后图像
x ^ h o \hat{x}_{ho} x^ho :隐写后恢复的载体图像
第一个公式使用前向传播,第二个使用后向传播
3.2 可逆隐写网络 (ISN)
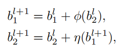
长度为 l l l 的可逆块,输入 b l b^{l} bl沿着通道轴划分为 b 1 l b_{1}^{l} b1l和 b 2 l b_{2}^{l} b2l

对于前向传播: b 1 l + 1 b_{1}^{l+1} b1l+1和 b 2 l + 1 b_{2}^{l+1} b2l+1 由上图公式得到,其中 ϕ ( ⋅ ) \phi(·) ϕ(⋅) 和 η ( ⋅ ) η(·) η(⋅) 为任意操作,

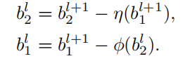
对于后向传播:给定 b 1 l + 1 b_{1}^{l+1} b1l+1和 b 2 l + 1 b_{2}^{l+1} b2l+1,可计算出 b 1 l b_{1}^{l} b1l和 b 2 l b_{2}^{l} b2l,
论文结构:

本文来自互联网用户投稿,文章观点仅代表作者本人,不代表本站立场,不承担相关法律责任。如若转载,请注明出处。 如若内容造成侵权/违法违规/事实不符,请点击【内容举报】进行投诉反馈!
