2022数学建模国赛B题和C题高质量论文代码数据
目录
B题论文
5.1 问题一的建模与求解
5.1.1 使用极坐标求解具体位置
C题论文
1.1 研究背景
1.2 问题的提
5.1 问题一的建模与求解
5.1.1 数据的预处理
B题论文
5.1 问题一的建模与求解
5.1.1 使用极坐标求解具体位置
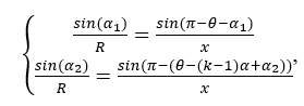
假设圆周的半径为, .以无人机FY00为极点, 以FY00为端点且经过FY01的射线为极轴建立极坐标系.不失一般性, 假设在圆周上的其中一架发射信号无人机为FY01, 转化为极坐标后, 其对应的极坐标为 . 由于发射信号的无人机都是位置准确的, 所以另一架发射信号无人机的位置是根据编号固定的, 编号为FY0K, 由于理想状态下, 所有无人机均匀分布在圆周上, 则其对应的坐标为
点这里,获取kdocs.cn/l/cpjzXWgD659Y
, 其中.接着, 假设接受信号的无人机的极坐标位置为 , 由于剩下无人机的位置略有偏差, 所以两个参数都需要进行确定. 接着, 我们去假设它与三架发射信号的无人机的夹角. 假设与FY00、FY01之间的夹角为, 与FY00、FY0K之间的夹角为, 与FY01、FY0K之间的夹角为.接下来需要通过已知信息来确定出相应接收信号无人机的极坐标.
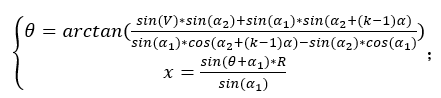
我们将略有偏差的无人机与确定的无人机位置相连, 利用正弦定理, 通过联立方程组来解得极坐标
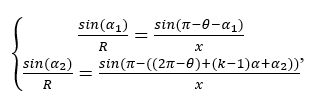
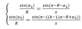
. 下面由于牵扯到角度, 还需要对K的不同值进行分类讨论:
情况i)当K=2时, 两个外围确定的无人机之间没有其他无人机:分布情况可视化如下图5.1所示:

图5.1 两个外围确定的无人机之间没有其他无人机分布图,由上图5.1可知:若(绿色所示位置), 我们考察FY00、FY01、FY0K构成的三角形与FY00、FY02、FY0K构成的三角形, 根据正弦定理可得:

, (5-1)
由式(5-1)解得:

; (5-2)
根据图5.1可知:若(蓝色所示位置), 我们考察FY00、FY01、FY0K构成的三角形与FY00、FY02、FY0K构成的三角形, 根据正弦定理可得:

, (5-3)
由式(5-3)解得:

; (5-4)
情况ii)当K=3,4,5时, 我们需要根据的大小判断有偏差的无人机是否夹在两个确定位置的无人机中间:分布情况可视化分析如图5.2所示

图5.2 情况ii无人机分布情况可视化分析
图5.2中:若且此时无人机并不处于两架飞机之间, 和上一种情况一致, 列出方程为:

(5-5)
解得:
点这里,获取kdocs.cn/l/cpjzXWgD659Y
C题论文
摘要
古代玻璃在风化过程中,由于内部元素与环境元素进行大量交换,导致其成分比例发生变化,从而影响对其类别的正确判断,本文通过对已知数据进行统计性分析进行相关的分类研判并采用无监督学习的K-means++算法对玻璃制品成分进行分析与鉴别
首先进行数据预处理,根据题目要求,删除编号为15和17的两条错误数据,将颜色为空值的部分根据风化程度规律设定为黑色处理,将其他空值进行填“0”处理,进行接下来的计算
针对问题一,卡方检验进行分析,根据显著性P值是否小于0.05判断出玻璃类型与表面风化存在显著性差异,与纹饰和颜色不存在显著性差异, 在此基础上进行效应量化分析,其中包含phi、Crammer's V、列联系数与lambda,最终计算出纹饰的PHI值小于0.3,说明与表面风化的相关性较弱,其余指标相关程度为中等。接着针对不同玻璃类型风化前后的统计规律进行对比分析,首先对风化前后的化学含量指标进行描述性统计分析,接着绘制风化前后频率分布直方图,观察数据的波动情况,最终得出高钾玻璃在风化后主要化学成分含量呈下降趋势;铅钡类玻璃在风化后主要化学成分含量呈上升趋势,根据风化点检测数据的特殊性,建立加权平均预测占比模型,通过采用标准正态分布函数进行赋权,使数据分布较为均匀,计算出风化前后不同种类玻璃的化学成分含量所占的比例的线性映射关系,最终预测出风化前的化学成分含量
针对问题二,首先将玻璃类型仅分为风化前和风化后,然后使用系统聚类方法进行聚类分析,分析当聚类数为2的时候两种聚类类别属于高钾玻璃和铅钡玻璃的情况,最终计算出在高钾玻璃风化前后对比中,仅有11号和48号判断错误,准确率为93.75%;铅钡玻璃风化前后对比中,准确率为100%。接下来
针对问题四,
关键词:玻璃成分鉴别 ;卡方检验 ;加权平均预测 ;系统聚类 ;K-Means++
点击下面这个卡片获取
点这里,获取kdocs.cn/l/cpjzXWgD659Y
一、问题的重述
1.1 研究背景
玻璃的主要原料是石英砂,主要化学成分是二氧化硅(SiO2)。煅烧过程中添加的助熔剂不同,其主要化学成分也不同。例如,铅钡玻璃在烧制过程中加入铅矿石作为助熔剂,其氧化铅(PbO)、氧化钡(BaO)的含量较高,通常被认为是我国自己发明的玻璃品种,楚文化的玻璃就是以铅钡玻璃为主。钾玻璃是以含钾量高的物质如草木灰作为助熔剂烧制而成的,主要流行于我国岭南以及东南亚和印度等区域。本文所研究玻璃制品的成分分析与鉴别的关系如下图所
1.2 问题的提出
本文将要解决以下几个问题:
问题一:对这些玻璃文物的表面风化与其玻璃类型、纹饰和颜色的关系进行分析;结合玻璃的类型,分析文物样品表面有无风化化学成分含量的统计规律,并根据风化点检测数据,预测其风化前的化学成分含量。
问题二:依据附件数据分析高钾玻璃、铅钡玻璃的分类规律;对于每个类别选择合适的化学成分对其进行亚类划分,给出具体的划分方法及划分结果,并对分类结果的合理性和敏感性进行分析。
问题三:对附件表单 3 中未知类别玻璃文物的化学成分进行分析,鉴别其所属类型,并对分类结果的敏感性进行分析。
问题四:针对不同类别的玻璃文物样品,分析其化学成分之间的关联关系,并比较不同类别之间的化学成分关联关系的差异性。
二、问题的分析
对本文提出的四个相关问题,我们逐一做如下分析:
问题一的分析:首先需要对玻璃表面风化情况与玻璃类型,纹饰和颜色的差异性进行分析,并结合玻璃的类型分析化学成分含量的变化规律以及预测风化前的化学成分含量。
第一步分析:针对定类变量进行卡方检验分析确定自变量与因变量之间的关系,带入SPSS软件中进行求解。分析显著性p值是否小于0.05,进而分析差异性关系
第二步分析:分别讨论铅钡玻璃与高钾玻璃风化前后的变化差异进行描述性统计分析、频率直方图统计分析、正态分布检验等,总结变化情况。
第三步分析:根据风化前后的数据规律,总结出各个化学成分的变化情况,使用加权平均法找到其映射关系并预测风化前的含量。
问题二的分析:需要我们针对高架玻璃和铅钡玻璃进行分类以及亚类划分,并分析模型的合理性和敏感性。
第一步分析:针对高钾玻璃和铅钡玻璃不同化学成分的数值进行统计,找到其具有代表性的化学指标的变化情况作为分类的依据。
第二步分析:在此基础上进行亚类划分,观察化学成分在风化前后的变化情况,颜色变化,纹理变化等,并给出相应的分类依据
第三步分析:在此基础上对数据进行扰动处理(灵敏性检验),并给出相关的合理性依据。
问题三的分析:需要我们对表单3中未知玻璃文物的化学成分进行分析,并预测其所属的类型,并进行敏感性分析。
第一步分析:将表单三中的数据中有无风化的情况进行分类讨论,结合问题2中模型的结论,对表单三中不同类型的玻璃进行分类研判,分析模型的鲁棒性。
第二步分析:将某一类化学元素含量增加一个扰动(-5%,-10%,10%,20%)带入问题2的模型中,观察分类情况是否会变化,并给出模型的稳定性结论。
问题四的分析:需要我们针对不同类别的玻璃样品分析化学成分之间的关联关系。
第一步分析:需要我们针对高架玻璃和铅钡玻璃进行分类,使用无监督学习的K-Means++聚类算法进行聚类分析,根据聚类结果分析化学成分之间的关系。
第二步分析:采用不同评价指标(CHI、DBI、轮轮廓系数等)比较不同类别之间的化学成分关联关系的差异性
三、模型假设
针对本文提出的问题,我们做了如下模型假设:
1. 假设
2. ××××××××
3. ××××××××
四、符号说明
本文常用符号见下表, 其它符号见文中说明.
| 符号 | 符号说明 |
| 第个指标风化后化学变量 | |
| 第个指标风化后化学变量 | |
| 第个指标风化前的权重 | |
| 第个指标风化后的权重 | |
| 第个指标风化前后的加权占比 | |
五、建模与求解
5.1 问题一的建模与求解
首先需要对玻璃表面风化情况与玻璃类型,纹饰和颜色的差异性进行分析,并结合玻璃的类型分析化学成分含量的变化规律以及预测风化前的化学成分含量,共需解决三个小问题,问题一建模分析流程图如下图5.1所示
图5.1 问题一分析流程图
点这里,获取kdocs.cn/l/cpjzXWgD659Y
5.1.1 数据的预处理
1、首先进行数据预处理工作,根据题目要求:将成分比例累加和介于85%~105%之间的数据视为有效数据,根据分析编号15和编号17的总成分小于85%因此在接下来的计算中不考虑编号15和编号17两组错误数据,将其进行剔除处理。
2、附件表单1中颜色列中的数据中,我们发现有四个空值,通过观察数据变化情况发现颜色的深浅程度与风化程度呈现正相关变化,因此我们将四个空值进行填补,填补为“黑色”。
3、附件表单2给出了相应的主要成分所占比例,空白处表示未检测到该成分,而不是缺失值,因此我们将未检测到的数据进行补“0”处理,方便接下来的计算。
5.1.2 针对表面风化情况进行卡方检验
首先使用Excel中的VLOOKUP函数将表单1和表单2中的数据进行合并,方便接下来的统计,通过观察数据发现纹饰、类型、颜色、表面风化均为定类变量,针对多组定类变量之间的差异性分析我们采用卡方检验。
卡方检验主要是比较定类变量与定类变量之间的差异性分析。通过统计样本的实际观测值与理论推断值之间的偏离程度,实际观测值与理论推断值之间的偏离程度就决定卡方值的大小,如果卡方值越大,二者偏差程度越大;反之,二者偏差越小;若两个值完全相等时,卡方值就为0,表明理论值完全符合。
变量X:表面风化;变量Y:纹饰,类型,颜色,使用SPSS软件进行交互分析,得出如下表5.2所示的卡方检验表
表5.2表面风化卡方检验表
| 题目 | 名称 | 表面风化 | 总计 | X² | 校正X² | P | |
| 无风化 | 风化 | ||||||
| 纹饰 | C | 11 | 22 | 33 | 5.722 | 5.722 | 0.057* |
| A | 14 | 14 | 28 | ||||
| B | 0 | 6 | 6 | ||||
| 合计 | 25 | 42 | 67 | ||||
| 类型 | 高钾 | 12 | 6 | 28 | 9.066 | 7.431 | 0.003*** |
| 铅钡 | 13 | 36 | 49 | ||||
| 合计 | 25 | 42 | 67 | ||||
| 颜色 | 蓝绿 | 8 | 9 | 17 | 14.358 | 14.358 | 0.045** |
| 浅蓝 | 6 | 16 | 22 | ||||
| 紫 | 2 | 4 | 6 | ||||
| 深绿 | 3 | 4 | 7 | ||||
| 深蓝 | 3 | 0 | 3 | ||||
| 黑 | 0 | 8 | 8 | ||||
| 浅绿 | 2 | 1 | 3 | ||||
| 绿 | 1 | 0 | 1 | ||||
| 合计 | 25 | 42 | 67 |
由上表卡方检验分析的结可以得出:表面风化和纹饰,显著性P值为0.071*,接受原假设,因此不存在显著性差异;表面风化和类型,显著性P值为0.001***,拒绝原假设,存在显著性差异;表面风化和颜色,显著性P值为0.067*,接受原假设,不存在显著性差异。
在此基础上进行效应量化分析,包括phi、Crammer's V、列联系数、lambda ,用于分析表面风化与其余三个指标的相关程度,量化分析指标解释如下:
1)phi系数:phi相关系数的大小,表示两样本之间的关联程度。当phi系数小于0.3时,表示相关较弱;当phi系数大于0.6时,表示相关较强
2)Cramer's V:与phi系数作用相似,但Cramer's V系数的作用范围较广。
3)列联系数:简称C系数。
4)lambda:用于反应自变量对因变量的预测效果
使用SPSS进行操作,得出结果如下表5.3所示:
点击下面的卡片下载即可
本文来自互联网用户投稿,文章观点仅代表作者本人,不代表本站立场,不承担相关法律责任。如若转载,请注明出处。 如若内容造成侵权/违法违规/事实不符,请点击【内容举报】进行投诉反馈!
