传统图像处理之随机脉冲噪声检测
我这里参考论文:随机值脉冲噪声检测系统的局部一致性指数方案
文章目录
- 前言
- 一、什么是噪声检测?
- 二、LCI值的定义
- 1.噪声像素与干净像素的特点
- 2.如何确定LCI的值
- 总结
前言
本博客主要讲述如何用LCI值的判断像素是否是干净像素 第一次写 写的不对之处还请多多指教
一、什么是噪声检测?
由于非理想传感器,传输错误,错误的存储器等,可能无法正确的评估数字图像中某些像素的光度值,这些损坏的像素会影响整体图像视觉,所以我们需要将被迫坏的噪声像素检测出来以此来为后面的修复图像打基础。
二、LCI值的定义
1.噪声像素与干净像素的特点


特别的 c部分是粗糙区
根据图片我们可以轻松得到一下几个结论
1.无论位于平坦区还是位于粗糙粗糙区,对于一个脉冲像素(噪声像素 一共分两大类固定值脉冲和随机值脉冲 我们这里主要谈论的为随机脉冲)通常可以找到相似的强度 而干净像素都通常具有一定量的相似强度的像素
2.我们可以利用给定像素附近的相似像素值的数量来确定该像素是否脉冲值
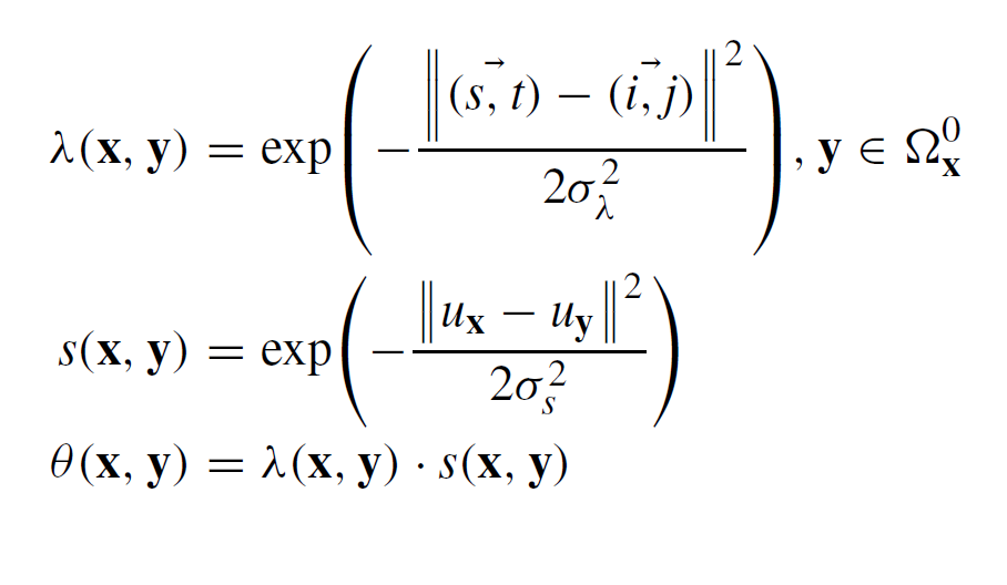
2.如何确定LCI的值
这个LCI值可以理解为一个像素对于整个图片的相似程度 当然这个LCI值越大说明此像素点为干净像素的概率就越高 那么如何定义这个值呢?

其中 λ ( x , y ) \lambda(x,y) λ(x,y)为几何距离 运用了欧式距离
S ( x , y ) \mathit{S}(x,y) S(x,y)为像素强度
从上面可以明显看出相似度不单单是由几何距离或者是强度的所决定的 后其我们会根据其几何距离来加上合适的权重 来就算LCI值


其实计算到这一步我们已经可以比较了 但是由于算出来的值每一个数值偏差较大 我们将其进行了取平均 让其值都在【0,2.5】左右 后将其归一化将值限制在了【0,1】

但是经过后期实验后发现其实没有归一化的值检测的精确率更高(具体原因我经过理解后觉得不够严谨所以这里不加以赘述
实验结果 我们设定阈值为0.5 但其实还是有误击和漏检的情况出现所以我们在后续会继续改进

经过式子分析,阈值其实是检测器是否能精确的检测噪声的一个标准 如若阈值的选择有偏差会造成精确率下降等一系列问题而且通过上面的几幅图我们其实可以得知平坦区和粗糙区的LCI值有很大区别 为了不造成精度下降等情况我们需要设置2个阈值 一个运用于平坦区 一个运用粗糙区
那么关于阈值的测定我将在下一篇里面进行详细的讲述
总结
1.LCI值可以用于判断像素是否为噪声点
2.判读一个像素的是否为噪声点不仅仅取决于像素强度还却决于几何距离 过远的距离对于判断像素的相似性没有太大的参考价值
本文来自互联网用户投稿,文章观点仅代表作者本人,不代表本站立场,不承担相关法律责任。如若转载,请注明出处。 如若内容造成侵权/违法违规/事实不符,请点击【内容举报】进行投诉反馈!
