深入理解 MySQL 索引底层原理
hi ,大家好,今天分享MySQL硬核知识,希望大家可以学习到真正的知识,慢慢积累,厚积薄发:
看完本文可以学到什么
一步一步推导出 Mysql 索引的底层数据结构
怎么分析回答技术选型问题
一步一步推导出 Mysql 索引的底层数据结构。
Mysql 作为互联网中非常热门的数据库,其底层的存储引擎和数据检索引擎的设计非常重要,尤其是 Mysql 数据的存储形式以及索引的设计,决定了 Mysql 整体的数据检索性能。
我们知道,索引的作用是做数据的快速检索,而快速检索的实现的本质是数据结构。通过不同数据结构的选择,实现各种数据快速检索。在数据库中,高效的查找算法是非常重要的,因为数据库中存储了大量数据,一个高效的索引能节省巨大的时间。比如下面这个数据表,如果 Mysql 没有实现索引算法,那么查找 id=7 这个数据,那么只能采取暴力顺序遍历查找,找到 id=7 这个数据需要比较 7 次,如果这个表存储的是 1000W 个数据,查找 id=1000W 这个数据那就要比较 1000W 次,这种速度是不能接受的。

Mysql 索引底层数据结构选型
哈希表(Hash)
哈希表是做数据快速检索的有效利器。
哈希算法:也叫散列算法,就是把任意值(key)通过哈希函数变换为固定长度的 key 地址,通过这个地址进行具体数据的数据结构。

考虑这个数据库表 user,表中一共有 7 个数据,我们需要检索 id=7 的数据,SQL 语法是:
select \* from user where id=7;
哈希算法首先计算存储 id=7 的数据的物理地址 addr=hash(7)=4231,而 4231 映射的物理地址是 0x77,0x77 就是 id=7 存储的额数据的物理地址,通过该独立地址可以找到对应 user_name='g'这个数据。这就是哈希算法快速检索数据的计算过程。
但是哈希算法有个数据碰撞的问题,也就是哈希函数可能对不同的 key 会计算出同一个结果,比如 hash(7)可能跟 hash(199)计算出来的结果一样,也就是不同的 key 映射到同一个结果了,这就是碰撞问题。解决碰撞问题的一个常见处理方式就是链地址法,即用链表把碰撞的数据接连起来。计算哈希值之后,还需要检查该哈希值是否存在碰撞数据链表,有则一直遍历到链表尾,直达找到真正的 key 对应的数据为止。


从算法时间复杂度分析来看,哈希算法时间复杂度为 O(1),检索速度非常快。比如查找 id=7 的数据,哈希索引只需要计算一次就可以获取到对应的数据,检索速度非常快。但是 Mysql 并没有采取哈希作为其底层算法,这是为什么呢?
因为考虑到数据检索有一个常用手段就是范围查找,比如以下这个 SQL 语句:
select \* from user where id \>3;
针对以上这个语句,我们希望做的是找出 id>3 的数据,这是很典型的范围查找。如果使用哈希算法实现的索引,范围查找怎么做呢?一个简单的思路就是一次把所有数据找出来加载到内存,然后再在内存里筛选筛选目标范围内的数据。但是这个范围查找的方法也太笨重了,没有一点效率而言。
所以,使用哈希算法实现的索引虽然可以做到快速检索数据,但是没办法做数据高效范围查找,因此哈希索引是不适合作为 Mysql 的底层索引的数据结构。
二叉查找树(BST)
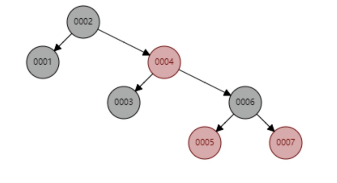
二叉查找树是一种支持数据快速查找的数据结构,如图下所示:

二叉查找树的时间复杂度是 O(lgn),比如针对上面这个二叉树结构,我们需要计算比较 3 次就可以检索到 id=7 的数据,相对于直接遍历查询省了一半的时间,从检索效率上看来是能做到高速检索的。此外二叉树的结构能不能解决哈希索引不能提供的范围查找功能呢?
答案是可以的。观察上面的图,二叉树的叶子节点都是按序排列的,从左到右依次升序排列,如果我们需要找 id>5 的数据,那我们取出节点为 6 的节点以及其右子树就可以了,范围查找也算是比较容易实现。
但是普通的二叉查找树有个致命缺点:极端情况下会退化为线性链表,二分查找也会退化为遍历查找,时间复杂退化为 O(N),检索性能急剧下降。比如以下这个情况,二叉树已经极度不平衡了,已经退化为链表了,检索速度大大降低。此时检索 id=7 的数据的所需要计算的次数已经变为 7 了。

在数据库中,数据的自增是一个很常见的形式,比如一个表的主键是 id,而主键一般默认都是自增的,如果采取二叉树这种数据结构作为索引,那上面介绍到的不平衡状态导致的线性查找的问题必然出现。因此,简单的二叉查找树存在不平衡导致的检索性能降低的问题,是不能直接用于实现 Mysql 底层索引的。
AVL 树和红黑树
二叉查找树存在不平衡问题,因此学者提出通过树节点的自动旋转和调整,让二叉树始终保持基本平衡的状态,就能保持二叉查找树的最佳查找性能了。基于这种思路的自调整平衡状态的二叉树有 AVL 树和红黑树。
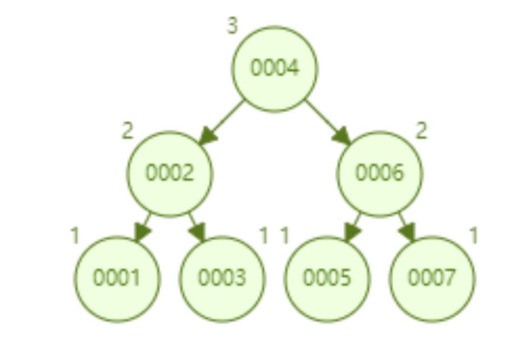
首先简单介绍红黑树,这是一颗会自动调整树形态的树结构,比如当二叉树处于一个不平衡状态时,红黑树就会自动左旋右旋节点以及节点变色,调整树的形态,使其保持基本的平衡状态(时间复杂度为 O(logn)),也就保证了查找效率不会明显减低。比如从 1 到 7 升序插入数据节点,如果是普通的二叉查找树则会退化成链表,但是红黑树则会不断调整树的形态,使其保持基本平衡状态,如下图所示。下面这个红黑树下查找 id=7 的所要比较的节点数为 4,依然保持二叉树不错的查找效率。
红黑树拥有不错的平均查找效率,也不存在极端的 O(n)情况,那红黑树作为 Mysql 底层索引实现是否可以呢?其实红黑树也存在一些问题,观察下面这个例子。
红黑树顺序插入 1~7 个节点,查找 id=7 时需要计算的节点数为 4。

红黑树顺序插入 1~16 个节点,查找 id=16 需要比较的节点数为 6 次。观察一下这个树的形态,是不是当数据是顺序插入时,树的形态一直处于“右倾”的趋势呢?从根本上上看,红黑树并没有完全解决二叉查找树虽然这个“右倾”趋势远没有二叉查找树退化为线性链表那么夸张,但是数据库中的基本主键自增操作,主键一般都是数百万数千万的,如果红黑树存在这种问题,对于查找性能而言也是巨大的消耗,我们数据库不可能忍受这种无意义的等待的。

现在考虑另一种更为严格的自平衡二叉树 AVL 树。因为 AVL 树是个绝对平衡的二叉树,因此他在调整二叉树的形态上消耗的性能会更多。
AVL 树顺序插入 1~7 个节点,查找 id=7 所要比较节点的次数为 3。

AVL 树顺序插入 1~16 个节点,查找 id=16 需要比较的节点数为 4。从查找效率而言,AVL 树查找的速度要高于红黑树的查找效率(AVL 树是 4 次比较,红黑树是 6 次比较)。从树的形态看来,AVL 树不存在红黑树的“右倾”问题。也就是说,大量的顺序插入不会导致查询性能的降低,这从根本上解决了红黑树的问题。

总结一下 AVL 树的优点:
不错的查找性能(O(logn)),不存在极端的低效查找的情况。
可以实现范围查找、数据排序。
看起来 AVL 树作为数据查找的数据结构确实很不错,但是 AVL 树并不适合做 Mysql 数据库的索引数据结构,因为考虑一下这个问题:
数据库查询数据的瓶颈在于磁盘 IO,如果使用的是 AVL 树,我们每一个树节点只存储了一个数据,我们一次磁盘 IO 只能取出来一个节点上的数据加载到内存里,那比如查询 id=7 这个数据我们就要进行磁盘 IO 三次,这是多么消耗时间的。所以我们设计数据库索引时需要首先考虑怎么尽可能减少磁盘 IO 的次数。
磁盘 IO 有个有个特点,就是从磁盘读取 1B 数据和 1KB 数据所消耗的时间是基本一样的,我们就可以根据这个思路,我们可以在一个树节点上尽可能多地存储数据,一次磁盘 IO 就多加载点数据到内存,这就是 B 树,B+树的的设计原理了。
B 树
下面这个 B 树,每个节点限制最多存储两个 key,一个节点如果超过两个 key 就会自动分裂。比如下面这个存储了 7 个数据 B 树,只需要查询两个节点就可以知道 id=7 这数据的具体位置,也就是两次磁盘 IO 就可以查询到指定数据,优于 AVL 树。

下面是一个存储了 16 个数据的 B 树,同样每个节点最多存储 2 个 key,查询 id=16 这个数据需要查询比较 4 个节点,也就是经过 4 次磁盘 IO。看起来查询性能与 AVL 树一样。

但是考虑到磁盘 IO 读一个数据和读 100 个数据消耗的时间基本一致,那我们的优化思路就可以改为:尽可能在一次磁盘 IO 中多读一点数据到内存。这个直接反映到树的结构就是,每个节点能存储的 key 可以适当增加。
当我们把单个节点限制的 key 个数设置为 6 之后,一个存储了 7 个数据的 B 树,查询 id=7 这个数据所要进行的磁盘 IO 为 2 次。

一个存储了 16 个数据的 B 树,查询 id=7 这个数据所要进行的磁盘 IO 为 2 次。相对于 AVL 树而言磁盘 IO 次数降低为一半。

所以数据库索引数据结构的选型而言,B 树是一个很不错的选择。总结来说,B 树用作数据库索引有以下优点:
优秀检索速度,时间复杂度:B 树的查找性能等于 O(h*logn),其中 h 为树高,n 为每个节点关键词的个数;
尽可能少的磁盘 IO,加快了检索速度;
可以支持范围查找。
5.B+树
B 树和 B+树有什么不同呢?
第一,B 树一个节点里存的是数据,而 B+树存储的是索引(地址),所以 B 树里一个节点存不了很多个数据,但是 B+树一个节点能存很多索引,B+树叶子节点存所有的数据。
第二,B+树的叶子节点是数据阶段用了一个链表串联起来,便于范围查找。

通过 B 树和 B+树的对比我们看出,B+树节点存储的是索引,在单个节点存储容量有限的情况下,单节点也能存储大量索引,使得整个 B+树高度降低,减少了磁盘 IO。其次,B+树的叶子节点是真正数据存储的地方,叶子节点用了链表连接起来,这个链表本身就是有序的,在数据范围查找时,更具备效率。因此 Mysql 的索引用的就是 B+树,B+树在查找效率、范围查找中都有着非常不错的性能。
Innodb 引擎和 Myisam 引擎的实现
Mysql 底层数据引擎以插件形式设计,最常见的是 Innodb 引擎和 Myisam 引擎,用户可以根据个人需求选择不同的引擎作为 Mysql 数据表的底层引擎。我们刚分析了,B+树作为 Mysql 的索引的数据结构非常合适,但是数据和索引到底怎么组织起来也是需要一番设计,设计理念的不同也导致了 Innodb 和 Myisam 的出现,各自呈现独特的性能。
MyISAM 虽然数据查找性能极佳,但是不支持事务处理。Innodb 最大的特色就是支持了 ACID 兼容的事务功能,而且他支持行级锁。Mysql 建立表的时候就可以指定引擎,比如下面的例子,就是分别指定了 Myisam 和 Innodb 作为 user 表和 user2 表的数据引擎。


执行这两个指令后,系统出现了以下的文件,说明这两个引擎数据和索引的组织方式是不一样的。

Innodb 创建表后生成的文件有:
frm:创建表的语句
idb:表里面的数据+索引文件
Myisam 创建表后生成的文件有
frm:创建表的语句
MYD:表里面的数据文件(myisam data)
MYI:表里面的索引文件(myisam index)
从生成的文件看来,这两个引擎底层数据和索引的组织方式并不一样,MyISAM 引擎把数据和索引分开了,一人一个文件,这叫做非聚集索引方式;Innodb 引擎把数据和索引放在同一个文件里了,这叫做聚集索引方式。下面将从底层实现角度分析这两个引擎是怎么依靠 B+树这个数据结构来组织引擎实现的。
MyISAM 引擎的底层实现(非聚集索引方式)
MyISAM 用的是非聚集索引方式,即数据和索引落在不同的两个文件上。MyISAM 在建表时以主键作为 KEY 来建立主索引 B+树,树的叶子节点存的是对应数据的物理地址。我们拿到这个物理地址后,就可以到 MyISAM 数据文件中直接定位到具体的数据记录了。

当我们为某个字段添加索引时,我们同样会生成对应字段的索引树,该字段的索引树的叶子节点同样是记录了对应数据的物理地址,然后也是拿着这个物理地址去数据文件里定位到具体的数据记录。
Innodb 引擎的底层实现(聚集索引方式)
InnoDB 是聚集索引方式,因此数据和索引都存储在同一个文件里。首先 InnoDB 会根据主键 ID 作为 KEY 建立索引 B+树,如左下图所示,而 B+树的叶子节点存储的是主键 ID 对应的数据,比如在执行 select * from user_info where id=15 这个语句时,InnoDB 就会查询这颗主键 ID 索引 B+树,找到对应的 user_name='Bob'。
这是建表的时候 InnoDB 就会自动建立好主键 ID 索引树,这也是为什么 Mysql 在建表时要求必须指定主键的原因。当我们为表里某个字段加索引时 InnoDB 会怎么建立索引树呢?比如我们要给 user_name 这个字段加索引,那么 InnoDB 就会建立 user_name 索引 B+树,节点里存的是 user_name 这个 KEY,叶子节点存储的数据的是主键 KEY。注意,叶子存储的是主键 KEY!拿到主键 KEY 后,InnoDB 才会去主键索引树里根据刚在 user_name 索引树找到的主键 KEY 查找到对应的数据。

问题来了,为什么 InnoDB 只在主键索引树的叶子节点存储了具体数据,但是其他索引树却不存具体数据呢,而要多此一举先找到主键,再在主键索引树找到对应的数据呢?
其实很简单,因为 InnoDB 需要节省存储空间。一个表里可能有很多个索引,InnoDB 都会给每个加了索引的字段生成索引树,如果每个字段的索引树都存储了具体数据,那么这个表的索引数据文件就变得非常巨大(数据极度冗余了)。从节约磁盘空间的角度来说,真的没有必要每个字段索引树都存具体数据,通过这种看似“多此一举”的步骤,在牺牲较少查询的性能下节省了巨大的磁盘空间,这是非常有值得的。
在进行 InnoDB 和 MyISAM 特点对比时谈到,MyISAM 查询性能更好,从上面索引文件数据文件的设计来看也可以看出原因:MyISAM 直接找到物理地址后就可以直接定位到数据记录,但是 InnoDB 查询到叶子节点后,还需要再查询一次主键索引树,才可以定位到具体数据。等于 MyISAM 一步就查到了数据,但是 InnoDB 要两步,那当然 MyISAM 查询性能更高。
本文首先探讨了哪种数据结构更适合作为 Mysql 底层索引的实现,然后再介绍了 Mysql 两种经典数据引擎 MyISAM 和 InnoDB 的底层实现。最后再总结一下什么时候需要给你的表里的字段加索引吧:
较频繁的作为查询条件的字段应该创建索引;
唯一性太差的字段不适合单独创建索引,即使该字段频繁作为查询条件;
更新非常频繁的字段不适合创建索引。
- END -
看完一键三连在看,转发,点赞
是对文章最大的赞赏,极客重生感谢你
推荐阅读
深入理解数据结构和算法
深入理解Kafka的设计思想
如何成为技术大神

本文来自互联网用户投稿,文章观点仅代表作者本人,不代表本站立场,不承担相关法律责任。如若转载,请注明出处。 如若内容造成侵权/违法违规/事实不符,请点击【内容举报】进行投诉反馈!
