5G NR Operating bands and channel bandwidth
1.NR frequency range
NR支持两种频率范围:FR1和FR2

2. Operating band
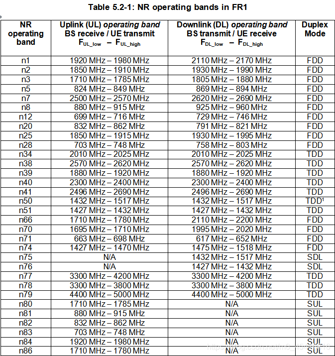
Operating band是指NR中有编号的、实实际际规定了上下频率边界的一段频带,如下图为FR1内的所有Operating bands,FR2内的Operating bands可参考38101-2,下面的几个概念同理,只用FR1举例。

3.Channel bandwidth
channel bandwidth是指UE所支持的几种固定的带宽配置,如5MHz、10MHz等,是包含在operating band内的。下两图分别给出FR1和FR2所支持的所有channel bandwidth

4. Transmission bandwidth configuration是指在上述2中所配置的UE的channel bandwidth内,实际用于发送内容的RB数量,即transmission bandwidth configuration包含在channel bandwidth中,但不是全部占满,其余的部分为guardband。以图中5MHz channel bandwidth、15kHz子载波间隔为例,25个RB占用的带宽是:25每个RB12个子载波每个子载波15kHz+1个预留RE即一个子载波=4515kHz,则剩下的(5MHz-4515kHz)/2=242.5kHz就等于两边要留的最小保护间隔。下两表是FR1的最大RB配置和最小保护间隔情况:


下两表是FR2的最大RB配置和最小保护间隔情况:


所以上述几个概念的包含关系如下图:

本文来自互联网用户投稿,文章观点仅代表作者本人,不代表本站立场,不承担相关法律责任。如若转载,请注明出处。 如若内容造成侵权/违法违规/事实不符,请点击【内容举报】进行投诉反馈!
