matlab 高斯模糊_摸鱼 | 茴香豆的“茴”有四种写法,模糊有几种糊法?
时隔十二天终于等到宋老师的回复后,我拿到了自己的憨憨照片。

(后知后觉的宋老师)
刚好考完认知期中(然后三周过去了),便摸个鱼,研究一下Photoshop的使用。今天就整理一下有关模糊的方法。

模糊的基本原理
模糊的本质是“平滑化”,抹去图片中的细节特征而留下一个整体的轮廓。我们都知道,一张图片可以理解为一个像素点构成的矩阵,其中每个像素点的颜色都可以由比如(R,G,B)参数系统进行表征。(百度百科:RGB参数系统为工业界的一种颜色标准,是通过对红(R)、绿(G)、蓝(B)三个颜色通道的变化以及它们相互之间的叠加来得到各式各样的颜色,比如这段文字的参数就是128,128,128,灰色)

(图片放大后的像素点)
而模糊就是将所有像素点的值,与其周边像素点的值通过算法进行“平均”,以“平均”后的值作为该像素点的参数值。之所以存在不同的模糊方法,其本质就是“平均”过程所使用的算法不同。
Photoshop中的模糊在“滤镜”菜单下,其共有的参数为“半径”,其设定了模糊操作中“平均”的像素点的范围。我们都知道,茴香豆的“茴”有四种写法,那么,模糊有几种糊法呢?
方框模糊
方框模糊是基于图像中相邻像素的平均参数来模糊图像的,是最简单的模糊算法。只有一个参数就是模糊半径,值越大,模糊的效果越强烈(其平均所取区域为目标像素周围的一个方框内的区域,比如当半径值为2时,就是以目标像素为中心的25个像素块)。

(下图为方框模糊后的效果)
高斯模糊
高斯模糊是在方框模糊的基础上,采用二维高斯函数作为的像素权重的算法。

(二维高斯函数)

(图源网络, 懒得用matlab画)
使用高斯函数进行模糊时,其目标像素的权重会比方框模糊更大,因此模糊后对于原图的细节损失更小。

(中图为高斯模糊,下图为方框模糊)
表面模糊
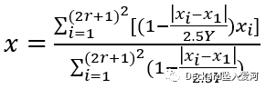
表面模糊的主要功能是在保留边缘的情况下对图像中平坦的区域进行模糊,这个功能可以实现很好的磨皮效果。首先简单粗暴,直接给出从网上找到的公式。

(好像贴了也看不懂里面的原理)
FROM: https://blog.csdn.net/xiaota00/article/details/74908785
设置半径r,得到一个边长为(2r+1)的正方形窗口,窗口中心像素的参数值即为x,公式中Y为设定的阈值,xi代表窗口中某个像素点的参数值,而x1则是窗口中心的像素原参数值。

(下图为表面模糊后的效果)
动感模糊
动感模糊用于给照片增添运动效果(就像手抖拍出来的照片那样),其为对像素进行平移后,在某一方向上的模糊。参数包括角度和距离:角度即为动感模糊的方向(即增添的运动效果的方向),距离则是模糊的程度大小。

(最下图为动感模糊+蒙版后的效果)
径向模糊
径向模糊使得图像产生一种切向或者径向模糊的效果,可以看作是二维版的动感模糊。首先来看一下径向模糊的GUI。

(径向模糊的GUI)
首先是【模糊方法】,“旋转”表示将图片沿以选定的中心点为圆心的同心圆环线模糊,然后指定旋转的度数;而“缩放”则是以选定的点为中心,沿四周放射线进行模糊,模糊操作的采样点从内向外逐渐稀疏,即越靠近中心模糊越低。
同一位置上的模糊的程度由【数量】决定,数量越大则模糊的程度越高。【品质】则与生成的图像质量有关,草图的操作速度最快但颗粒性最强。此外,可在GUI右下框中调整模糊中心的位置。

(中图为旋转,下图为缩放)
镜头模糊
镜头模糊通过向图像中添加模糊从而尽可能地模拟镜头产生的景深效果,其原理不同于此前的模糊,不仅在二维上进行操作,增加了深度维度,涉及焦外成像(bokeh)的原理,可以用来弥补拍照时光圈开太小的缺憾。
这个原理之后另外写一篇来学学(咕咕咕)。
其他的一些
模糊可以柔化选区或者整个图像,通过平衡图像中的线条或遮蔽区域之间的清晰边缘的像素,来使得图像中的变化更加柔和。
平均找出选区中的平均颜色,然后用该颜色直接覆盖选区。
进一步模糊是模糊的加强版。
特殊模糊是一种比较精细的模糊,可以自己设置模糊的半径、阈值、品质和模式。其中阈值表示像素点之间的差值达到多大时应当消除,阈值越大则模糊程度越小。模式有正常、仅限边缘和叠加边缘三种:“正常”只模糊图像;“仅限边缘”应用黑白混合的边缘,勾画出图像的色彩边界;而“叠加边缘”则是前两种模式的叠加效果。(这个【模式】的用法我还没太明白)

(上图为仅限边缘,下图为叠加边缘)
形状模糊以一定大小的形状(可自定义)为单位,对形状范围内包含的像素点进行整体模糊运算。(暂时没想到啥用处)

(形状模糊的效果)

所以Photoshop里滤镜下的模糊一共有十一种糊法(误),不过感觉其中比较常用的可能不到一半,总体上也大概可以归为:|方框、高斯、表面|;|动感、径向|;|镜头|。
对于这个摸鱼呢,目前已经画的饼还有:高低频磨皮、图层混合模式、镜头模糊/焦外成像和卷积(这该死的数学),啥时候把饼做出来就……

本文来自互联网用户投稿,文章观点仅代表作者本人,不代表本站立场,不承担相关法律责任。如若转载,请注明出处。 如若内容造成侵权/违法违规/事实不符,请点击【内容举报】进行投诉反馈!
