bp神经网络代码_精通数据科学笔记 神经网络
本章讨论一种全新的建模理念,它不关心模型的假设以及相应的数学推导,也就是说不关心模型的可解释性,其核心内容是模型实现,虽然到目前为止,人们还无法理解,但在某些特定场景里预测效果却非常好。我们把这种模型称为神经网络,深度学习,人工智能等。
神经元


模型的输入是数据里的自变量

接收输入变量的是一个线性模型

接下来是一个非线性激活函数

,这是神经元模型的核心,常用的激活函数有很多,如sigmoid,ReLU,tanh,maxout等
模型各部分联结起来得到输出

,传递给下一个神经元
sigmoid 神经元与二元逻辑回归
sigmoid 函数作为神经元激活函数的两个好处:
实用:能将任意实数映射到(0,1)区间
理论:模拟了两种效应的竞争关系,可近似表达正效应大于负效应的概率
当模型被用于二元分类时,sigmoid神经元模型就是逻辑回归
softmax 函数与多元逻辑回归
独热编码:对于k元分类问题,用一个k维行向量来表示它的类别
Softmax 函数:给定输入数据,输出这个数据的类别概率

(softmax 函数)
对于k元逻辑回归,某个数据点的损失可以写成softmax函数与行向量的乘积形式

其中

是独热编码向量,

,

是Softmax函数
神经网络


神经元按层组织,每一层包含若干神经元,层内神经元相互独立,但相邻两层之间是全连接的
神经网络不同层按功能分为3类,分别是输入层,隐藏层,和输出层。
隐藏层里每一个圆圈包含线性模型和激活函数,统称神经元
输入层不对数据做处理
输出层只包含线性模型,没有激活函数
代码实现
借助第三方库tensorflow实现


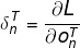
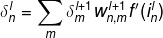
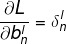
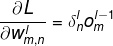
反向传播算法(BP)
反向传播算法是神经网络的基石,但其本身却饱受质疑,因为没有生物学的支持,违背神经网络的建模理念,BP算法的核心是利用链式法则计算多元函数偏导数
计算的起点:

反向传播:

模型训练梯度:


BP算法和最大期望EM算法类似,可分为向前计算和向后计算
- 首先随机生成模型参数

和

- 根据现有的模型参数和训练数据,计算每个神经元的

和

- 根据随机梯度下降法更新参数

提高神经网络的学习效率
改进激活函数
学习效率正比于激活函数的导数
sigmoid函数:非0中心;自变量远离0时导数接近0
tanh函数:以0为中心但是自变量远离0时导数接近0
ReLU函数:自变量小于0时,导数恒小于0,自变量大于0时,导数恒大于0
参数初始化:令

,其中m是上一层神经元个数,可以提高学习效率
梯度消失和梯度爆炸是同一个问题的两个极端,是神经网络的权重项叠加效应导致。
本文来自互联网用户投稿,文章观点仅代表作者本人,不代表本站立场,不承担相关法律责任。如若转载,请注明出处。 如若内容造成侵权/违法违规/事实不符,请点击【内容举报】进行投诉反馈!
