双边z变换公式_光通信与数学 傅里叶变换
Mathematics->Fourier transform非完备性证明,逻辑自洽,深入浅出,构建光通信数学观。
光通信与数学 - 基础1
光通信与数学 - 泰勒展开式与欧拉公式
光通信与数学 - 傅里叶级数(实数域)
光通信与数学 - 傅里叶级数(复指数域)
傅里叶变换傅里叶变换推导傅里叶级数可将任意周期为p的函数变换到复指数空间,此处探讨周期P无限大会发生什么?
f(ε)表达式称为傅里叶变换,亦称频谱,频率ε的单位为赫兹。
s(x)表达式称为傅里叶逆变换。
f(ε)与s(x)一起称为傅里叶变换对。
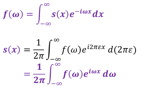
角频率形态
角频率ω=2πε(以弧度/秒为单位),代入傅里叶变换对

非周期矩形函数的傅里叶变换


对于非周期的矩形函数,其傅里叶变换为连续的曲线,说明其频率分量为连续的,且每个频率分量值都是实数值,即自变量x发生变换时频率分量值保持不变。
创造属于你自己的变换
傅里叶认为正余弦函数或复指数函数是构成世界的基础,创造了傅里叶变换。是否存在其他变换呢,沃尔什认为矩形方波是构成世界的基础,创造了沃尔什变换。那么如何创造属于你自己的变换呢?
1、找一组你认为构成世界的完备正交基,该正交基构成一个内积函数空间。
2、将原函数和每个基进行内积运算,得到变换系数。
3、原函数可表达为每个基乘以对应变换系数的和,即可将原函数投影到内积函数空间。
发散
假设一个多元函数s(x,y,z,...),其自变量{x,y,z,...}随着时间t一起改变,而导致函数值s也改变,将函数记为s(t),在确定的时间都有确定的值,如s(t0),s(t1),s(t2)等。当然t也可以理解为空间。
假设观测到宇宙中不知名的信号,不知道其多元函数原始表达式s(x,y,z,...),只能通过测量得到s(t),s(t)受限于观察者所在的时空,可能测不到某些高维时空值,只能算原始表达式s(x,y,z,...)的观察表达式。
举例说明,假设观察者所处的三维时空为内积函数空间,如果观察表达式s(t)是一个二维椭圆,那么假设原始表达式s(x,y,z,...)也一定是二维椭圆,但如果观察表达式s(t)是一个三维空间球体,可能无法证明原始表达式s(x,y,z,...)是三维还是四维甚至更高维空间球体。
量子不确定性怎么来的,为什么对于电子双缝干涉实验会有观察者效应,是不是也受限于观察者时空局限呢,也许可以在光通信与物理篇尝试探讨。
光通信与数学剩余内容
离散傅里叶变换、快速傅里叶变换、卷积小波变换与OTDR算法微积分OOPING
18171226206 (WeChat)
ooping@amazelink.cn
每周不超过50%的几率随机更新,专注光通信与数学、物理、软件的交集!
本文来自互联网用户投稿,文章观点仅代表作者本人,不代表本站立场,不承担相关法律责任。如若转载,请注明出处。 如若内容造成侵权/违法违规/事实不符,请点击【内容举报】进行投诉反馈!
