三、Redis五种经典数据类型介绍及运用
三、Redis五种经典数据类型介绍及运用
三、Redis五种经典数据类型介绍及运用
- 三、Redis五种经典数据类型介绍及运用
- 1、Redis键(key)命令
- 2、String
- 1、简介
- 2、最常用
- 3、同时设置/获取多个键值
- 4、数值增减
- 5、获取字符串长度
- 6、分布式锁
- 7、数据结构
- 8、应用场景
- 2、hash
- 1、简介
- 2、常用命令
- 3、数据结构
- 4、应用场景
- 3、list
- 1、简介
- 2、向列表左边添加、获取元素
- 3、向列表右边添加、获取元素
- 4、查看列表
- 5、获取列表中元素的个数
- 6、数据结构
- 7、应用场景
- 4、set
- 1、简介
- 2、添加元素
- 3、删除元素
- 4、遍历集合中的所有元素
- 5、判断元素是否在集合中
- 6、获取集合中的元素总数
- 7、从集合中随机弹出一个元素,元素不删除
- 8、从集合中随机弹出一个元素,出一个删一个
- 9、集合运算
- 1、集合的差集运算 A-B
- 2、集合的交集运算 A∩B
- 3、集合的并集运算 A ∪ B
- 10、数据结构
- 11、应用场景
- 5、Zset
- 1、简介
- 2、常用命令
- 3、数据结构
- 4、跳跃表(跳表)
- 1、简介
- 2、实例
- 1、 有序链表
- 2、 跳跃表
- 5、应用场景
- 6、备注
- 更多内容:
- 更多内容:
1、Redis键(key)命令
| keys * | 查看当前库所有key (匹配:keys *1) |
|---|---|
| exists key | 判断某个key是否存在 |
| type key | 查看你的key是什么类型 |
| del key | 删除指定的key数据 |
| unlink key | 根据value选择非阻塞删除,仅将keys从keyspace元数据中删除,真正的删除会在后续异步操作。 |
| expire key 10 | 10秒钟:为给定的key设置过期时间 |
| ttl key | 查看还有多少秒过期,-1表示永不过期,-2表示已过期 |
| select | 命令切换数据库 |
| dbsize | 查看当前数据库的key的数量 |
| flushdb | 清空当前库 |
| flushall | 通杀全部库 |
2、String
1、简介
- String是Redis最基本的类型,你可以理解成与Memcached一模一样的类型,一个key对应一个value.
- String类型是二进制安全的。意味着Redis的string可以包含任何数据。比如jpg图片或者序列化的对象.
- String类型是Redis最基本的数据类型,一个Redis中字符串value最多可以是512M.
2、最常用
set key value
get key
# 设置键值的同时,设置过期时间,单位秒
setex <key><过期时间><value>
# 以新换旧,设置了新值同时获得旧值。
getset <key><value>
3、同时设置/获取多个键值
MSET key value [key value ....]
MGET key [key ....]
4、数值增减
递增数字 INCR key
增加指定的整数 INCRBY key increment
递减数值 DECR key
减少指定的整数 DECRBY key decrement
5、获取字符串长度
STRLEN key
6、分布式锁

setnx key value
set key value [EX seconds] [PX milliseconds] [NX|XX]
7、数据结构
String的数据结构为简单动态字符串(Simple Dynamic String,缩写SDS)。是可以修改的字符串,内部结构实现上类似于Java的ArrayList,采用预分配冗余空间的方式来减少内存的频繁分配.

如图中所示,内部为当前字符串实际分配的空间capacity一般要高于实际字符串长度len。当字符串长度小于1M时,扩容都是加倍现有的空间,如果超过1M,扩容时一次只会多扩1M的空间。需要注意的是字符串最大长度为512M。
8、应用场景
- 比如抖音无限点赞某个视频或者商品,点一下加一次

- 是否喜欢的文章
阅读数:只要点击了rest地址,直接可以使用incr key 命令增加一个数字1,完成记录数字。

2、hash
1、简介
- Redis hash 是一个键值对集合。 Map
> - Redis hash是一个string类型的field和value的映射表,hash特别适合用于存储对象。
- 用户ID为查找的key,存储的value用户对象包含姓名,年龄,生日等信息,如果用普通的key/value结构来存储

2、常用命令
# 一次设置一个字段值
HSET key field value# 一次获取一个字段值
HGET key field# 一次设置多个字段值
HMSET key field value [field value ...]# 一次获取多个字段值
HMGET key field [field ....]# 获取所有字段值
hgetall key# 获取某个key内的全部数量
hlen#删除一个key
hdel# key中某字段是否存在
hexists # 为哈希表 key 中的域 field 的值加上增量 1
hincrby # 将哈希表key中的域field的值设置为value,当且仅当域 field 不存在
hsetnx
3、数据结构
Hash类型对应的数据结构是两种:ziplist(压缩列表),hashtable(哈希表)。当field-value长度较短且个数较少时,使用ziplist,否则使用hashtable。
4、应用场景
JD购物车早期 设计目前不再采用,当前小中厂可用
新增商品 → hset shopcar:uid1024 334488 1
新增商品 → hset shopcar:uid1024 334477 1
增加商品数量 → hincrby shopcar:uid1024 334477 1
商品总数 → hlen shopcar:uid1024
全部选择 → hgetall shopcar:uid1024

3、list
1、简介
- Redis 列表是简单的字符串列表,按照插入顺序排序。你可以添加一个元素到列表的头部(左边)或者尾部(右边)。
- 它的底层实际是个双向链表,对两端的操作性能很高,通过索引下标的操作中间的节点性能会较差。

一个双端链表的结构,容量是2的32次方减1个元素,大概40多亿,主要功能有push/pop等,一般用在栈、队列、消息队列等场景。
2、向列表左边添加、获取元素
LPUSH key value [value ...]
LPOP key value [value ...]# 从左边删除n个value(从左到右)
lrem # 将列表key下标为index的值替换成value
lset
3、向列表右边添加、获取元素
RPUSH key value [value ....]
RPOP key value [value ...]# 列表右边吐出一个值,插到列表左边
rpoplpush # 在的后面插入插入值
linsert before
4、查看列表
LRANGE key start stop
5、获取列表中元素的个数
LLEN key
6、数据结构
-
List的数据结构为快速链表quickList。
-
首先在列表元素较少的情况下会使用一块连续的内存存储,这个结构是ziplist,也即是压缩列表。
-
它将所有的元素紧挨着一起存储,分配的是一块连续的内存。
-
当数据量比较多的时候才会改成quicklist。
-
因为普通的链表需要的附加指针空间太大,会比较浪费空间。比如这个列表里存的只是int类型的数据,结构上还需要两个额外的指针prev和next。

- Redis将链表和ziplist结合起来组成了quicklist。也就是将多个ziplist使用双向指针串起来使用。这样既满足了快速的插入删除性能,又不会出现太大的空间冗余。
7、应用场景
- 微信公众号订阅的消息
1 大V作者李永乐老师和CSDN发布了文章分别是 11 和 22
2 关注了他们两个,只要他们发布了新文章,就会安装进我的List
lpush likearticle:id 11 22
3 查看自己的号订阅的全部文章,类似分页,下面0~10就是一次显示10条
lrange likearticle:id 0 9

-
商品评论列表
-
- 需求1:用户针对某一商品发布评论,一个商品会被不同的用户进行评论,保存商品评论时,要按时间顺序排序
- 需要2:用户在前端页面查询该商品的评论,需要按照时间顺序降序排序
使用list存储商品评论信息,key是该商品的id,value是商品评论信息商品编号为1001的商品评论key【items:comment:1001】lpush items:comment:1001 {"id":1001,"name":"huawei","date":1600484283054,"content":"lasjfdljsa;fdlkajsd;lfjsa;ljf;lasjf;lasjfdlsad"}
4、set
1、简介
- Redis set对外提供的功能与list类似是一个列表的功能,特殊之处在于set是可以自动排重的,当你需要存储一个列表数据,又不希望出现重复数据时,set是一个很好的选择,并且set提供了判断某个成员是否在一个set集合内的重要接口,这个也是list所不能提供的。
- Redis的Set是string类型的无序集合。它底层其实是一个value为null的hash表,所以添加,删除,查找的复杂度都是O(1)。
- 一个算法,随着数据的增加,执行时间的长短,如果是O(1),数据增加,查找数据的时间不变
2、添加元素
SADD key member [member ...]
3、删除元素
SREM key member [member ...]
4、遍历集合中的所有元素
SMEMBERS key
5、判断元素是否在集合中
SISMEMBER key member
6、获取集合中的元素总数
SCARD key
7、从集合中随机弹出一个元素,元素不删除
SRANDMEMBER key [数字]
8、从集合中随机弹出一个元素,出一个删一个
SPOP key [数字]
9、集合运算
A abc12
B 123ax
1、集合的差集运算 A-B
属于A但不属于B的元素构成的集合
SDIFF key [key ...]
2、集合的交集运算 A∩B
属于A同时也属于B的共同拥有的元素构成的集合
SINTER key [key ...]
3、集合的并集运算 A ∪ B
属于A或者属于B的元素合并后的集合
SUNION key [key ...]
10、数据结构
-
Set数据结构是dict字典,字典是用哈希表实现的。
-
Java中HashSet的内部实现使用的是HashMap,只不过所有的value都指向同一个对象。Redis的set结构也是一样,它的内部也使用hash结构,所有的value都指向同一个内部值。
11、应用场景
- 微信抽奖小程序

用户ID,立即参与按钮 sadd key 用户ID
显示已经有多少人参与了,上图23208人参加 SCARD key
抽奖(从set中任意选取N个中奖人)
SRANDMEMBER key 2 随机抽奖2个人,元素不删除
SPOP key 3 随机抽奖3个人,元素会删除
- 微信朋友圈点赞
- 新增点赞 sadd pub:msgID 点赞用户ID1 点赞用户ID2
- 取消点赞 srem pub:msgID 点赞用户ID
- 展现所有点赞过的用户 SMEMBERS pub:msgID
- 点赞用户数统计,就是常见的点赞红色数字 scard pub:msgID
- 判断某个朋友是否对楼主点赞过 SISMEMBER pub:msgID 用户ID
-
微博好友关注社交关系
-
- 共同关注的人

共同关注:我去到局座张召忠的微博,马上获得我和局座共同关注的人
-
- 我关注的人也关注他(大家爱好相同)
我关注了华为余承东,余承东也关注了局座召忠,我和余总有共同的爱好

- QQ内推可能认识的人

5、Zset
1、简介
- Redis有序集合zset与普通集合set非常相似,是一个没有重复元素的字符串集合。
- 不同之处是有序集合的每个成员都关联了一个评分(score),这个评分(score)被用来按照从最低分到最高分的方式排序集合中的成员。集合的成员是唯一的,但是评分可以是重复了 。
- 因为元素是有序的, 所以你也可以很快的根据评分(score)或者次序(position)来获取一个范围的元素。
- 访问有序集合的中间元素也是非常快的,因此你能够使用有序集合作为一个没有重复成员的智能列表。
2、常用命令
# 添加元素
ZADD key score member [score member ...]# 按照元素分数从小到大的顺序 返回索引从start到stop之间的所有元素
ZRANGE key start stop [WITHSCORES]# 获取元素的分数
ZSCORE key member# 删除元素
ZREM key member [member ...]# 获取指定分数范围的元素
ZRANGEBYSCORE key min max [WITHSCORES] [LIMIT offset count]# 增加某个元素的分数
ZINCRBY key increment member# 获取集合中元素的数量
ZCARD key# 获得指定分数范围内的元素个数
ZCOUNT key min max# 按照排名范围删除元素
ZREMRANGEBYRANK key start stop# 获取元素的排名
# 从小到大
ZRANK key member
# 从大到小
ZREVRANK key member
3、数据结构
SortedSet(zset)是Redis提供的一个非常特别的数据结构,一方面它等价于Java的数据结构Map
- zset底层使用了两个数据结构
- hash,hash的作用就是关联元素value和权重score,保障元素value的唯一性,可以通过元素value找到相应的score值。
- 跳跃表,跳跃表的目的在于给元素value排序,根据score的范围获取元素列表。
4、跳跃表(跳表)
1、简介
有序集合在生活中比较常见,例如根据成绩对学生排名,根据得分对玩家排名等。对于有序集合的底层实现,可以用数组、平衡树、链表等。数组不便元素的插入、删除;平衡树或红黑树虽然效率高但结构复杂;链表查询需要遍历所有效率低。Redis采用的是跳跃表。跳跃表效率堪比红黑树,实现远比红黑树简单。
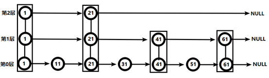
2、实例
对比有序链表和跳跃表,从链表中查询出51
1、 有序链表

要查找值为51的元素,需要从第一个元素开始依次查找、比较才能找到。共需要6次比较。
2、 跳跃表

从第2层开始,1节点比51节点小,向后比较。
21节点比51节点小,继续向后比较,后面就是NULL了,所以从21节点向下到第1层
在第1层,41节点比51节点小,继续向后,61节点比51节点大,所以从41向下
在第0层,51节点为要查找的节点,节点被找到,共查找4次。
5、应用场景
- 根据商品销售对商品进行排序显示
思路:定义商品销售排行榜(sorted set集合),key为goods:sellsort,分数为商品销售数量。
商品编号1001的销量是9,商品编号1002的销量是15 zadd goods:sellsort 9 1001 15 1002
有一个客户又买了2件商品1001,商品编号1001销量加2 zincrby goods:sellsort 2 1001
求商品销量前10名 ZRANGE goods:sellsort 0 10 withscores

- 抖音热搜

点击视频ZINCRBY hotvcr:20200919 1 八佰ZINCRBY hotvcr:20200919 15 八佰 2 花木兰
展示当日排行前10条ZREVRANGE hotvcr:20200919 0 9 withscores
6、备注
命令不区分大小写,而key是区分大小写的
help @类型名词
更多内容:
下一篇:Redis配置文件介绍
更多内容:
更多内容大家可以关注一下个人博客网,https://blog.xueqimiao.com/,内容更丰富喔。

回复Redis可以获取完整md文档喔,谢谢关注。
本文来自互联网用户投稿,文章观点仅代表作者本人,不代表本站立场,不承担相关法律责任。如若转载,请注明出处。 如若内容造成侵权/违法违规/事实不符,请点击【内容举报】进行投诉反馈!
