数据库之随机变量的分布
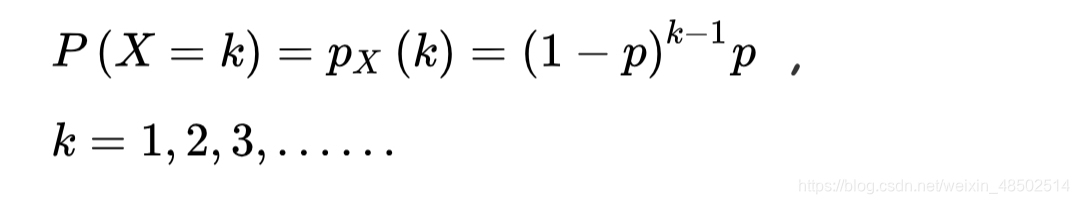
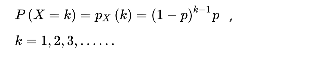
⒈几何分布 X~G(p)
E(X)=1/p,D(X)=q/p²
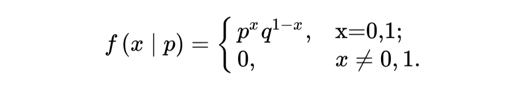
⒉“0-1”分布(两点分布)
E(X)=p,D(X)=pq
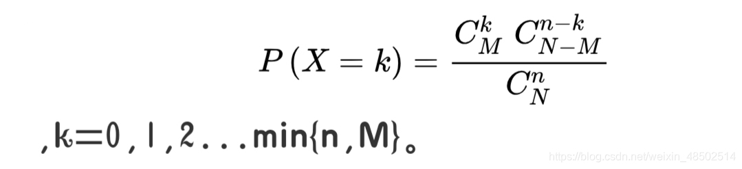
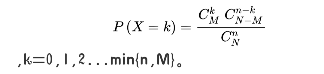
⒊超几何分布 X~H(n,M,N)

E(X)=nM/N,
D(X)=nM(N-M)(N-n)/N²(N-1)
⒋二项分布 X~B(n,p)
x=0,1,2,3,…,n
E(X)=np,D(X)
本文来自互联网用户投稿,文章观点仅代表作者本人,不代表本站立场,不承担相关法律责任。如若转载,请注明出处。 如若内容造成侵权/违法违规/事实不符,请点击【内容举报】进行投诉反馈!