1022 D进制的A+B
1022 D进制的A+B
题目:
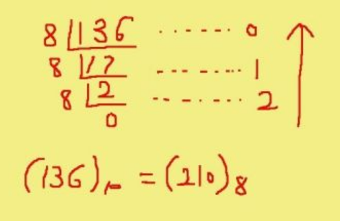
输入两个非负 10 进制整数 A 和 B (≤2^30 −1),输出 A+B 的 D (1 输入格式: 输入在一行中依次给出 3 个整数 A、B 和 D。 输出格式: 输出 A+B 的 D 进制数。 输入样例: 输出样例: 代码: 注意: ①进制之间的转化方法 ②注意A=0且B=0的情况,因为题目上说非负 10 进制整数 A 和 B,所以要考虑到这种情况。123 456 8
1103
#include

本文来自互联网用户投稿,文章观点仅代表作者本人,不代表本站立场,不承担相关法律责任。如若转载,请注明出处。 如若内容造成侵权/违法违规/事实不符,请点击【内容举报】进行投诉反馈!
