步进电机基础(4.1)-步进电机的技术要点之永久磁铁
步进电机基础(4.1)-步进电机的技术要点之永久磁铁
- 前言
- 基本信息
- 前言说明
- 步进电机的技术要点
- 4.1 永久磁铁
- 1. 永久磁铁的功能
- 2. 步进电机使用永久磁铁的种类和特性
- 1) 铁氧体磁铁
- 2) Nd-Fe-B磁铁
- 3) 铝镍钴磁铁
- 4)粘接钕铁硼磁铁
- 3 . 各向同性与各向异性磁铁
- 4. PM型与HB型转子使用磁铁的差异
前言
基本信息
| 名称 | 描述说明 |
|---|---|
| 教材名称 | 步进电机应用技术 |
| 作者 | 坂本正文 |
| 译者 | 王自强 |
前言说明
根据我读的《步进电机应用技术》这本书,进行的学习过程中的知识记录和心得体会的记录。
步进电机的技术要点
本章主要介绍产生步进电机涡流损耗的主要部件,说明构成步进电机中共性的问题,重点介绍永久磁铁、导磁材料、绝缘材料、轴承及其润滑材料、导线及绕组绕制方法、减速器等。
4.1 永久磁铁
要使步进电机体积小,转矩大,就要不断提高永久磁铁的性能。永久磁铁主要用于PM型和HB型步进电机的转子上。
1. 永久磁铁的功能
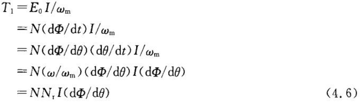
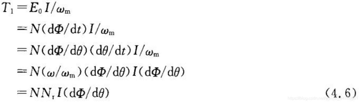
图4. 1 (a) 为永久磁铁在直流电机的使用方法,而(b) 为永久磁铁在步进电机中的使用方法。

直流电机的转矩根据弗莱明左手定则,依据图 4. 1 (a) 所示,得公式如下:

式中,I为线圈电流,B为永久磁铁产生的磁通密度,L为线圈永久磁铁轴向有效长度,r为转子半径,N为线圈匝数。
直流电机的永久磁铁安装在定子上(结构如图4. 1 (a) 所示), 产生激磁密度B.
相对于直流电机的结构,步进电机正好相反。步进电机的转子侧安装永久磁铁,如图4. 1 (b) 所示,磁通从转子N极出来,经过气隙、定子铁芯,再由S极下的气隙回到转子S极,构成闭合磁路。激磁线圈绕于定之磁极上,磁极中磁通Φ及相应的磁通密度B穿过转子。转子轴方向的定子有效长度为L, 图4. 1 (b) 为两相PM型步进电机的一相结构。
图4. 1 (b) 的步进电机,永久磁铁安装在转子上作为电机的激磁磁极,这种方式称为旋转磁极式。相应的,图4. 1 (a) 所示的电机称为旋禁电枢式,步进电机的电磁转矩由式(3. 8) 得

式中,E0为感应电势,I为电流,ωm为机械角速度。
式(4. 2) 为永久磁铁激磁的步进电机产生的电磁转矩,因此有下面的公式:

式中,Φ为交链磁通,0为转子转动角,为电气角速度,N为相线圈匝数。式(4. 3) 由法拉第定律得来,式(4. 5) 为机械角与电气角的关系式,把式(4. 3) ~式(4. 5) 代入式(4. 2) 得到转矩公式如下:

步进电机的转矩由永磁体产生的交链磁通变化率与流过线圈电流之积产生。E0为感应电动势,图4. 1 (b) 表示如下

将此E0代入式(4. 2) , 单相转矩变为下式

依据图4. 1 (b) , 永久磁铁激磁的步进电机转矩公式为式(4. 8) , 当(4. 8) Nr =1时,转矩公式与直流电机的转矩公式(4. 1) 相同,直流电机的气隙磁通B, 相当于步进电机的交链磁通的有效当量部分总和。而铁心中心的磁通密度因其为稳定的磁通量为无效磁通。
2. 步进电机使用永久磁铁的种类和特性
按步进电机使用永久磁铁的种类,可将步进电机的形式表示成表4. 1.

1) 铁氧体磁铁
表4. 1的磁铁为用粉末冶金法制作的氧化物磁铁,有钡氧体系列与锶氧体系列,与其他的磁铁相比,具有比重小、转子惯量小、剩磁密度低,矫顽力高等特点,不易受去磁磁场的影响,为表4. 1中最便宜的水磁体,适用于各种电机(包括 PM 型步进电机)。根据制造方法,使用烧结铁氧体与环氧树脂做粘合剂的压铸铁氧体(又称粘接铁氧体)比较,烧结铁氧体的磁能较高,但难以制造复杂形状的磁极。压铸铁氧体有注塑成型和压铸成型两种方法,前者能形成各种复杂形状,但磁性能比后者稍差。
2) Nd-Fe-B磁铁
简称钕磁铁。钕磁铁为稀土类磁铁的一种,稀土类磁铁剩磁密度和矫顽力均很高,适用于步进电机使用,稀土类磁铁有Sm-Co (钐-钴)系列与 Nd-Fe-B (钕-铁-硼)系列。HB型步进电机主要适用后者,主要是因为其磁能积大于35MOeG (M. Oersted, Gauss) , 充磁比前者更容易且稳定性好。钕铁硼比其他磁铁容易生锈,使用时需要作防锈处理。
HB型步进电机转子安装前不磁化,安装后再磁化,装配时不会吸附铁粉等,也不会吸引定子,所以装配简单,如用钕磁铁的HB型转子,转子即使从定子中抽出,也不会退磁。
3) 铝镍钴磁铁
铝镍钴(AI-Ni-Co) 磁铁为铸造磁铁,价格在铁氧体与钕磁铁之间,剩余磁通密度与钕磁铁相等,HB型步进电机开始就使用它,铝镍钴的另一特点是温度系数小,高温下不退磁,由此特适用于高温的HB型步进电机。
但铝镍钴磁铁矫顽力比铁氧体磁铁要低,用于HB型步进电机时,要装配完成后再磁化,其转子如从定子中抽出,会产生退磁现象,即使再装回定子,也不会产生原来的转矩。与钕磁铁比较,其矫顽力小,轴向厚度要设计得大些。表4.1中的RM沏电机是将PM型转子与HB型定子,特别是三相定子组合时成的,为区别于PM型,特将图2. 40所示的步进电机称为RM型
4)粘接钕铁硼磁铁
Nd-Fe-B系稀土磁铁粉末与环氧树脂粘合的磁铁,比铁氧体的磁能大10倍左右,适合于小型化的电机。图4. 2对相同大小的步进电机分别用钕铁硼与铁氧体激磁得到的转矩进行比较,材料费提高的同时,转矩也增大了。
烧结钕铁硼与粘接钕铁硼相比,前者磁能积高,但不能做出复杂的结构,粘接钕铁硼与铁氧体一样,能注射或压铸成复杂形状,前者用注射成型,能制造出复杂形状,但磁性能比压铸成型的要低。

3 . 各向同性与各向异性磁铁
磁铁有任意方向皆能磁化的各向同性磁铁与只有固定方向磁性强的各向异性磁铁相比,后者磁化后磁能卨,可以用于高转矩的电机。各向异件磁铁的产生,是在磁铁加工过程中,加人磁场磁化,使分子形成各向异性。各向异性磁铁有环状磁铁、径向异性磁铁、表面圆周上定极数磁铁、极异性磁铁及盘状轴向异性和径向异性磁铁。表2中轴向异性磁铁简称为异性磁铁。
图4. 3示出磁铁的种类及其特征,各向同性烧结铁氧体与极异性烧结铁氧体的转矩特性比较如图4.4所示【8】。


所谓极异性的叫法始于作者[8],现在此种名称已经得到大家认同。图4. 4为电机外径42mm,长度21. 8mm,步距角7. 5°的PM型步进电机。低速时,极异性烧结铁氧体的转矩特性比各向同性烧结铁氧体转矩特性约高50%,从图4.3中开路磁密度值看出转矩比值接近1050/630,从而印证了电磁转矩T与磁场B成正比关系。
4. PM型与HB型转子使用磁铁的差异
PM型与RM型转子磁铁类似,本节重点讲PM型步进电机。 PM型与HB型转子磁铁的种类不同,而且磁化方向及磁极数也不同。

PM型为多极型,转子外表面上N、 S极交替安装, HB型的磁铁为轴向磁化,磁铁的一面为N极,另一面为S极。 PM型转子只有一个,由于转子表面极数多,要使用专用充磁设备,充磁绕组要安装在永久磁铁的表面,并通以大电流产生强磁场。由f转子磁铁充磁,所以转子磁轭部分磁场恒定,转子不会发热。将充磁后的转子装入定子中,即完成电机装配。
与此相对, HB型步进电机将未充磁的转子先装入定子中,安装完后再做轴向两极充磁。因此,由定子外侧给转子的永磁体充磁,转子结构如图2. 25或2. 26所示,两个软磁铁如同三明治般将永磁体夹在中间组成HB型永磁转子,相对于PM型充磁,需要更大的安匝数(电流AX线圈匝数),电机的外部为充磁线圈,所以充磁比PM型要简单。图4. 5表示PM型 与HB型使用的永磁铁的形状。 HB型的铁氧体形状如图4. 5所
示,使用Al-Ni-Co所需要的厚度为钦铁硼的数倍。

本文来自互联网用户投稿,文章观点仅代表作者本人,不代表本站立场,不承担相关法律责任。如若转载,请注明出处。 如若内容造成侵权/违法违规/事实不符,请点击【内容举报】进行投诉反馈!
