论文笔记:Bayesian Online Changepoint Detection
1. 前言
本文是对以下论文的阅读笔记。
Ryan P. Adams, David J.C. MacKay, Bayesian Online Changepoint Detection, arXiv 0710.3742v1 (2007)
关于更基础的解说可以参见:
[论文笔记]贝叶斯在线变点检测:一个直观的理解
本文可以看作是以上博文的进一步补充,重点在于原文的公式推导的个人理解及一些补充。
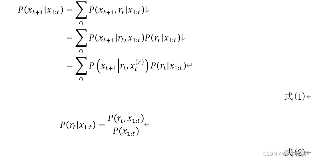
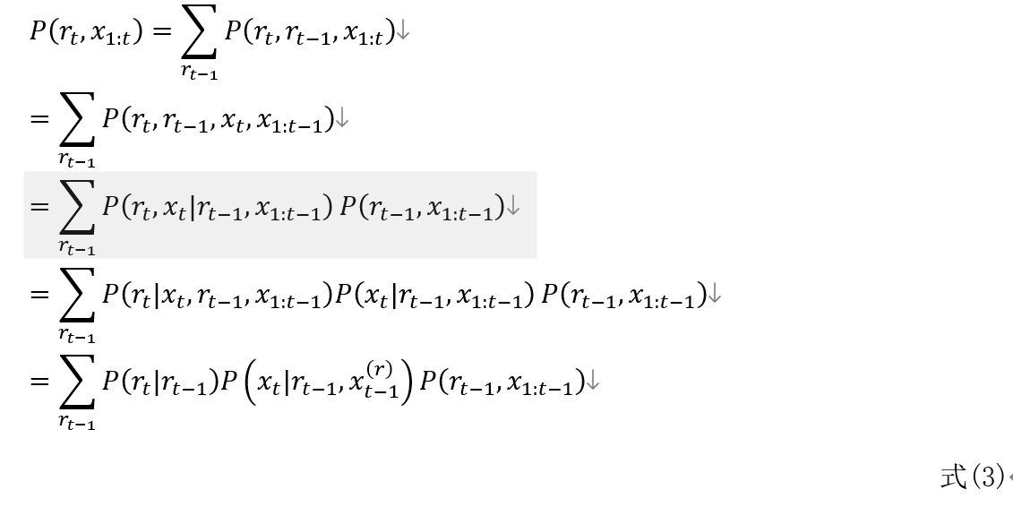
2. 公式推导补充
原论文的公式推导有些跳跃,对于用于良好的数学和概率统计的功底的科班来说当然不是问题,对于本渣这样的山寨出身读起来确实头疼。相信也有对此有同感的人吧。以下追加了一些中间步骤,以及最后提出了一点疑问。公式编号与原论文一致。闲话少说,直接上(虽然优美但是确实万恶的)公式。。。

以上推导中,自然是指从时刻1到时刻t的样本序列。而
是指当前到达当前run-length
所对应的样本序列,即从上一个change-point开始到当前时刻为止的序列。即
,
表示上一个变化点发生的时刻。

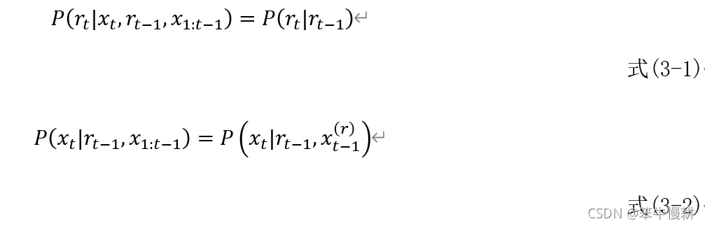
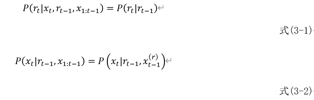
以上推导中隐含了以下两式:

式(3-1)应该是指
包含了决定
的概率所需要的所有的信息,与
无关。但是为什么呢?与
无关比较好理解,但是为什么连
都无关呢?
关于式(3-2),论文中给出的解释如下所示。

这个是不是因为segmentation/partition间的分布参数是独立的假设相关呢?

此外,原论文中式(3)是写成

的,我觉得其中
应该是
的笔误(参见上面的式(3))。
中已经包含了
,
同时出现在条件概率的两侧,好像无法理解。
(持续更新中)
本文来自互联网用户投稿,文章观点仅代表作者本人,不代表本站立场,不承担相关法律责任。如若转载,请注明出处。 如若内容造成侵权/违法违规/事实不符,请点击【内容举报】进行投诉反馈!
