数据学习(十六)-时间序列分析和预测
1.时间序列及其分解
2. 时间序列的描述性分析
3. 平稳序列的平滑和预测
4. 有趋势序列的分析和预测
5.复合型型序列的分解
1.时间序列及其分解
同一现象在不同的时间相继观察值排列而成的序列,称为给时间序列。根据观察时间的不同,时间序列中的时间可以是年份,季度,月份或其他时间形式。时间序列可以分为平稳序列和非平稳序列。
基本上不存在趋势的序列,称为平稳序列。包含趋势性。季度性或周期性的序列,称为非平稳序列,它可能只含有其中的一中成分,也可能是几种成分的组合。
非平稳序列又可以分为有趋势的序列,有趋势,季节性和周期性的序列,即复合型序列。
时间序列在长期内呈现出来的某种持续向上或持续下降的变动,称为趋势,也称长期趋势。时间序列的趋势是由于某种固定的因素作用于序列而形成的,其中趋势可以是线性的也可以是非线性的。
时间序列在一年内重复出现的周期性波动,称为季节性,也称季节变动。
时间序列中呈现出来的围绕长期趋势的一种波浪形或震荡式变动,称为周期性,也称循环波动。
时间序列中除去趋势,周期性和季节性之后的偶然性波动,称为随机性,也称不规则波动。
时间序列的构成要素分为4种,即趋势,季节性或季节变动,周期性或循环变动,随机性或不规则波动。按四种因素对时间序列的影响方式不同,事件序列可分解为多种模型,如乘法模型,加法模型等,最常用的模型是乘法模型:
Y=T.S.C.I.
2. 时间序列的描述性分析
2.1 增长率分析
增长率和平均增长率
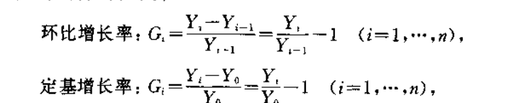
时间序列中报告其观察值与基期观察值之比减1后的结果,称为增长率,也称为增长速度,用百分比表示。
由于对比的基期不同,增长率可以分为环比增长率和定基增长率。设增长率为G,则环比增长率和定基增长率可分别表示为

式中Y0表示用于对比的固定基期的观察值。
时间序列中各逐期环比值的几何平均数减1后的结果,称为平均增长率,也称平均发展速度。平均增长率用于描述现象在整个观察期内的平均增长变化的程度,计算公式为

式中G`表示平均增长率,n为环比值得个数。
年度化增长率
当增长率以年来表示时,称为年度化增长率或年频。年度化增长率的计算公式为:

其中GA为年度化增长率,m为1年中的时期个数,n为所跨的时期总数。
3. 平稳序列的平滑和预测
时间序列分析的一项重要内容就是根据过去已有的数据来预测未来的结果。时间序列的预测方法既有传统方法,也有较为精准的现代方法。这里主要介绍传统方法。
3.1 简单平均法
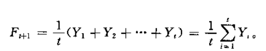
根据过去已有的t期观察值通过简单平均来预测下一期的数值的一种预测方法,称为简单平均法。
设时间序列已有的t期观察值为Y1,Y2,…,Y3,则第t+1期的预测值Ft+1为

当到了第t+1期后,有了第t+1期的实际值,即可计算出第t+1期的预测误差et+1为

于是,第t+2期的预测值为

以此类推。
3.2 移动平均法
通过对时间序列逐期递移求得平均数作为趋势值或预测值得一种预测或平滑方法,称为移动平均法。
移动平均法是简单平均法的一种改进方法,其方法有简单移动平均法和加权移动平均法两种。
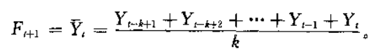
简单移动平均
简单移动平均是将最近的k期数据加以平均,作为下一期的预测值。设移动间隔为k(1
公式是对时间序列的平滑结果,通过这些平滑值就可以描述出时间序列的变化形态或趋势。当然也可以用它来进行预测
对于第t+1期的简单移动平均预测值为

同样,第t+2的预测值得预测值为

以此类推。为凭借预测的效果或准确性,可计算均方误差(MSE),它是预测误差平方和的平均数。计算公式为

加权移动平均
简单移动平均法在预测时,将每个观察值都给予相同的权数。但实际上,近期的观察值和远期的观察值得重要性是不同的。加权移动平均法就是在预测时,对近期的观察值和远期的观察值赋予不同的权数后再进行预测。一般而言,当时间序列的波动较大时,最近期的观察值应赋予最大的权数,而比较远的时期的观察值赋予的权数依次减小。
3.3 指数平均法
指数平均法是对过去的观察值加权平均进行预测的一种方法,该方法使得第t期的指数平滑值等于第t期的实际观察值与第t+1期指数平滑值得加权平均值。
指数平均法是加权平均的一种特殊形式,观察值时间越远,其权数也跟着呈指数的下降,因而称为指数平滑。指数平滑有一次指数平滑,二次,三次,这里主要介绍一次指数平滑。它也称单一指数平滑,它只有一个平滑系数,而且当观察值离预测时期越久远时,权数变得越小。一次指数平滑是以一段时期的预测值与观察值得线性组合作为第t+1期的预测值,其预测模型为

式中Yt是第t期的实际观察值;Ft为第t期的预测值;阿发为平滑系数(阿发大于0小于1)。
式中,第t+1期的预测值是第t期的实际观察值与第t期的预测值得加权平均。由于开始时,我们没有第1期的预测值F1,通常可以设F1等于第1期的实际观察值,即F1=Y1,因此第2期的预测值为

第三期的预测值为

第四期的预测值为

以此类推。可见任何预测值Ft+1都是以前所有的实际观察值得加权平均。
对于指数平滑法的预测精度,同样用误差均方来衡量。所以上次可以写成

可见,Ft+1是第t期的预测值Ft加上用阿发调整的第t期的预测误差(Yt-Ft)。
4. 有趋势序列的分析和预测
上面的方法只适合于平稳时间序列,当序列存在明显得趋势时,这些方法就不再适用,这时应采用趋势外推预测。时间序列的趋势可以分为线性趋势和非线性趋势两大类。
4.1 线性趋势分析和预测
线性趋势是指现象随着时间的推移而呈现出稳定增长或下降的线性变化规律。当现象的发展按照线性趋势变化时,可以用下列线性趋势方程来描述:

趋势方程中的两个未知常数a和b通常按照最小二乘法求得。根据最小二乘法得到的趋势线中未知常数a和b的公式如下:




4.2 非线性趋势分析和预测
序列中的趋势通常可以认为是由于某种固定的因素作用同一方向所形成的。若线性变化,可以对时间序列配合趋势直线,若呈现非线性趋势,则需要配合适当的趋势曲线。
二次曲线
当现象发展的趋势为抛物线形态时,可配合二次曲线。其一般方程为

曲线中的三个未知数a,b,c,仍然可以根据最小二乘法求得。根据最小二乘法得到的未知常数a,b,c的标准求解方程如下:

指数曲线
指数曲线用于描述以几何技术递增或递减的现象,即时间序列的观察值Yt按指数规律变化,或者说时间序列的逐期观察值按一定的增长率增长或衰减。一般的自然增长及大多数经济序列都有指数变化趋势。指数曲线的一般形式为

式中a,b为未知常数。





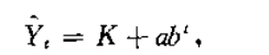
修正指数曲线
在一般指数曲线的方程上增加一个常数项K,即为修正指数曲线。其一般形式为

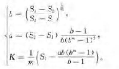
式中K,a,b为未知常数,K>0,a!=0,0 修正指数曲线用于描述这样一类现象:初期增长迅速,随后增长率逐渐降低,最终则以k为增长极限。即当K>0,a<0,0 修正指数曲线的未知常数用处可采用三和法求得。三和法的基本思想是:将时间序列观察值等分为三个部分,每部分有m个时期,从而根据趋势值Yt的三个局部总和分别等于原序列观察值Yt的三个局部总和来确定三个常数。
设观察值得三个局部和分别为S1,S2,S3,即

根据三和法的要求,有


所以得到

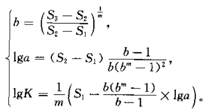
龚伯兹曲线
是以英国统计学家的名字命名的。曲线方程为

式中K,a,b为未知常数,K>0,0 龚伯兹曲线的现象的特点是:初期增长缓慢,以后逐渐加快,当达到一定程度后,增长率又逐渐下降,最后接近一条水平线。该曲线的两端都有渐近线,其上渐近线为Y=K,下渐近线为Y=0。龚伯兹曲线通常用于描述事物的发展由萌芽,成长到饱和的周期过程。
为确定曲线中的未知常数,可将其改为对数形式:

然后仿照修正指数曲线中常数的确定方法,求出lga,lgK,b取lga和lgK的反对数求得a和K。令

则有

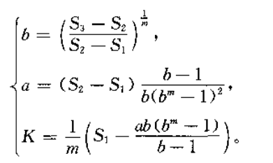
Logistic曲线
该曲线所描述的现象的特征与龚伯兹曲线类似,其曲线方程为

式中K,a,b为未知常数,K>0,a>0,0 
则有

5.复合型型序列的分解
复合型序列是指含有趋势性,季节性和周期性的序列。分解的顺序一般是:先求出季节因素,再求出趋势in素,最后求出周期性因素和随机因素。
5.1 季节性分析
季节性因素分析师通过季节指数来表示各年的季节成分,以此来描述各年的季节变动模式。其分析步骤是;先计算出季节指数,再消除季节性因素。
计算季节指数
季节指数刻画来序列再一个年度内各月或季的典型季节特征。
季节指数的计算方法有多种,这里我们只介绍移动平均趋势剔除法。该方法的基本步骤是:


分离季节性因素
有了季节指数后,我们就可以将各实际观察值分别除以相应的季节指数,将季节性因素从事件序列中分离出去。用公式表示即为

5.2 周期性分析
周期性由于时间长短和波动大小不一,且常与不规则波动交织在一起,因而很难单独加以描述和分析。通常是从时间序列中依次消除季节性因素,趋势因素和不规则因素,所剩结果即为周期性因素。因素分析循环波动的常用方法是剩余法。
剩余法的基本思想和原理是:从时间序列中一次或陆续消除趋势变动,季节变动,剩下循环波动和不规则波动,然后再将结果进行平滑,尽可能消去不规则成分,其剩余结果即为循环波动值。具体计算步骤如下:





本文来自互联网用户投稿,文章观点仅代表作者本人,不代表本站立场,不承担相关法律责任。如若转载,请注明出处。 如若内容造成侵权/违法违规/事实不符,请点击【内容举报】进行投诉反馈!
