【数字信号处理】(一)第1章、离散时间信号与系统(离散时间信号的典型序列、序列的运算、周期性、能量,用单位抽样序列来表示任意序列)
目录
1.2 离散时间信号——序列
1.2.1 几种常用的典型序列
1. 单位抽样(脉冲、冲激)序列
2. 单位阶跃序列
3. 矩形序列
4. 实指数序列
5. 正弦序列
6. 复指数序列
1.2.2 序列的运算
1. 序列的移位(左加右减……)
2. 序列的翻褶(翻转)
3. 序列的和
4. 序列的乘积
5. 序列的标乘
6. 累加
7. 差分运算
8. 序列的时间尺度变换(比例变换)
9. 卷积和(线性卷积和、线性卷积)!!!
练习题
答案
1.2.3 序列的周期性
1. 序列的周期性
2. 正弦序列的周期性
例题
1.2.4 用单位抽样序列来表示任意序列!!!!!!
例题
1.2.5 序列的能量
1.2 离散时间信号——序列
1.2.1 几种常用的典型序列
1. 单位抽样(脉冲、冲激)序列
在零时刻突然产生一个幅值为1的脉冲,之后持续时间为0的序列。

| 注意区别: 单位抽样序列—脉冲幅度为1,有限值,现实信号 单位冲激函数— 函数幅度为无穷大,极限概念,非现实信号 |
2. 单位阶跃序列
在零时刻突然从0跳变到1的序列,之后一直保持为1。

3. 矩形序列
以定期间隔重复出现的矩形脉冲序列,脉冲的幅值为1,持续时间为一定周期内的一部分

4. 实指数序列
以实数为底数的指数函数的离散形式。幅值随时间变化较慢或增长或衰减。

5. 正弦序列
以正弦函数为基础的周期性序列,幅值和频率可以调节。


6. 复指数序列
以复数为底数的指数函数的离散形式,幅值和相位随时间变化。

1.2.2 序列的运算
1. 序列的移位(左加右减……)
将序列的每个元素按照一定的规则向左或向右移动。

2. 序列的翻褶(翻转)
将序列按照中心轴进行对称翻转。

3. 序列的和
将两个序列的对应元素相加得到一个新的序列,新序列的每个元素等于原序列中对应位置的元素之和。
4. 序列的乘积
将两个序列的对应元素相乘得到一个新的序列,新序列的每个元素等于原序列中对应位置的元素之积。
5. 序列的标乘
将序列的每个元素乘以一个标量,即将序列的每个元素都乘以同一个数值。
6. 累加
将序列的前n个元素相加得到一个新的序列,新序列的第n个元素等于原序列中前n个元素之和。
7. 差分运算
对序列进行逐元素的减法操作,得到一个新的序列。
前向差分:新序列的第n个元素等于原序列中第n+1个元素减去第n个元素。
后向差分:新序列的第n个元素等于原序列中第n个元素减去第n-1个元素。

8. 序列的时间尺度变换(比例变换)
根据比例因子对序列进行伸缩操作,改变序列的时间轴上的间隔。

9. 卷积和(线性卷积和、线性卷积)!!!

练习题
答案
1.2.3 序列的周期性
1. 序列的周期性
当序列中的元素按照某个周期性规律进行重复时,我们可以称该序列具有周期性。

2. 正弦序列的周期性

例题
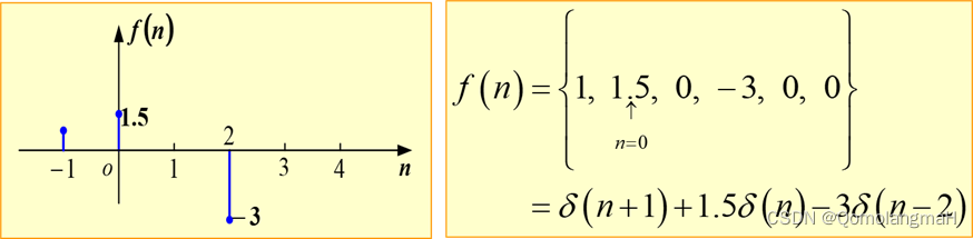
1.2.4 用单位抽样序列来表示任意序列!!!!!!

通过使用不同的 k 值,就可以构建出表示任意序列的线性组合。
任意离散序列可以表示为单位抽样序列延时的幅度加权之和;单位抽样的表示方式有利于进行某些数学运算。

例题
1.2.5 序列的能量
离散序列的能量定义为各采样样本值模的平方和
能量描述了信号的总体强度,通过平方运算,能量值始终为非负数。能量越大,表示信号的幅值越大或信号强度越强。

本文来自互联网用户投稿,文章观点仅代表作者本人,不代表本站立场,不承担相关法律责任。如若转载,请注明出处。 如若内容造成侵权/违法违规/事实不符,请点击【内容举报】进行投诉反馈!





