【机器学习】支持向量机 SVM 原理详解 详细数学推导
前排提示 多公式预警,如果想真正掌握、想对SVM的推导和原理理解透彻,就请耐心的看完推导过程,博主发现很多书籍文献资料上推导过程大多有所省略,这对数学基础不牢靠的同学来说不太友好(比如博主自己 - -#),所以在此给出最细致的推导过程。
由于公式符号繁多,博主也经过了多次修正检查,如有疏漏或不对的地方还请指正(公式编辑真的打的累死惹)~~
支持向量机 SVM(support vector machine)算法原理:
(首先给出一个图,svm最终目的就是要求解图中的超平面g,也叫决策边界。其中样本G,R,S可称为 支持向量)

将含两种类别的样本空间通过一个决策边界分开,使得离决策边界最近的样本点能够尽可能远离决策边界 (通俗理解:找到一条线,使得离该线最近的点能够最远),下面直接进入正题开始推导:
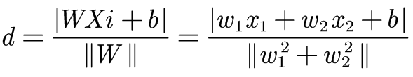
1.点面距离公式 =》svm的中最优解问题:
===》几何公式:
点(x0,y0)到直线 Ax + By + C = 0 的距离
===》样本空间下描述:(含x轴y轴的二维平面,等价于 含两种特征的样本空间)
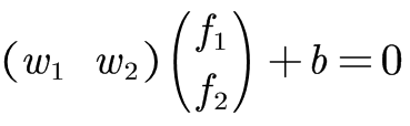
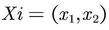
在含两种特征f1,f2的样本空间中,某个样本点Xi(特征f1 = x1,特征f2 = x2) 与某个特征划分边界D: w1f1 +w2f2 + b = 0 的欧氏距离为:
将特征划分边界写成向量形式=》
其中,F=(f1,f2)表示样本空间中各个维度的特征,样本点
【0.3】
===》样本空间 推广至N维:
N维特征空间有样本点
特征划分平面D': w1'f1'+w2'f2'+...+wn'fn' + b' = 0 即
:
【0.4】
决策方程的变换&
本文来自互联网用户投稿,文章观点仅代表作者本人,不代表本站立场,不承担相关法律责任。如若转载,请注明出处。 如若内容造成侵权/违法违规/事实不符,请点击【内容举报】进行投诉反馈!



【0.4】