计算机图形学九重心坐标及其应用
重心坐标及其应用
重心坐标在计算机图形学当中极为常用。
知道三角形的三个顶点的属性,便可插值出其内部任意一点的对应属性。比如当深度缓存时,高洛德着色时,我们都用到了重心坐标公式。
直线上的重心坐标
直线AB上任意一点,都可以表示为P = (1-k)A+kB(0
三角形上的重心坐标
类比直线,三角形也存在重心坐标。与直线上一点满足P=mA+nB (m+n=1)一样,三角形所在平面上任意一点的坐标可以表示为P = mA+nB+kC (m+n+k=1)的形式,其中,当0<=m,n,k<=1时,该点在三角形内及三角形边上。
三角形重心的几何意义可以看做是三角形内一点,连接三个顶点,顶点所对的三角形占总三角形的面积。就是该点的重心坐标。


当点在某个边的外侧时,该点与边构成的三角形的面积计算为负值。
应用场景
我们知道了我们可以通过重心坐标来计算三角形内任意一点的坐标。那这有什么用呢?
我们不止可以把三角形顶点的位置进行插值计算出任意一点的坐标。还可以将顶点的其他属性,如颜色,法线,uv坐标,深度等,套重心公式插值得到三角形内任意一点。
所以我们只需要先通过四个点的位置信息算出重心坐标,之后即可通过重心坐标来计算其他属性的插值。
重心坐标与投影
重心坐标的计算只和x,y,z当中的任意两项有关,在计算机图形学中,主要用到的是重心坐标的平面概念。到底是用的哪两项呢,具体是看我们三角形的投影平面是由哪两项来表示的。
通常来说,三角形的重心坐标不需要考虑z的值,因为空间中的重心在平面上的正交投影上,重心的投影依然是三角形的重心。所以说不用考虑z值,只插值x,y值即可。
如下图,D在与投影平面正交投影后,依然在直线的中心,比例关系没有改变。

但是上述条件只存在于正交投影,我们知道在mvp变化时,p变化矩阵可以是透视投影矩阵,因此重心的表现形式就不能忽略z的影响。看下图:

上图可以看出,此时的投影光线与投影平面并不平行,D点也从平分B,C两点变成了偏向c,不再平分。
这里应该有一大堆数学证明。
可以参考下面的文章:
https://zhuanlan.zhihu.com/p/361943207
https://zhuanlan.zhihu.com/p/144331875
矫正:

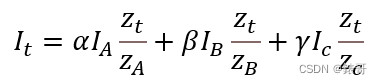
用这个公式去插值,自己手打的。。。zt是插值点的深度,I是插值点的属性,zazbzc是插值点的深度,知道四个点的深度,和顶点的属性,还有重心坐标,插值出所求点的对应属性。
其实就是z坐标,本来是有线性关系的,但是经过透视投影变换后,失去了线性关系,因此需要进行一个矫正。
本文来自互联网用户投稿,文章观点仅代表作者本人,不代表本站立场,不承担相关法律责任。如若转载,请注明出处。 如若内容造成侵权/违法违规/事实不符,请点击【内容举报】进行投诉反馈!
