网络轻量化 - 注意力迁移(Attention Transfer)
原文:《PAYING MORE ATTENTION TO ATTENTION: IMPROVING THE PERFORMANCE OF CONVOLUTIONAL NEURAL NETWORKS VIA ATTENTION TRANSFER》
目录
- 动机
- 前期知识
- 注意力机制
- 空间域(Spatial Domain)
- 通道域(Channel Domain)
- 混合域(Mixed Domain)
- 算法部分
- 基于激活的注意力转移
- 三种实现方式:
- 利用注意力转移进行知识蒸馏
- 基于梯度的注意力转移
动机
在知识蒸馏中,教师网络学习到的注意力图也可以作为一种知识,蒸馏到学生网络中,从而提高学生网络的性能表现。
关于注意力图的生成方式,提出了**基于激活(activation-based)和基于梯度(gradient-based)**的两种注意力图表示方式。
前期知识
注意力机制
空间域(Spatial Domain)
通道域(Channel Domain)
SENet:
- Squeeze:把原来 [ H ∗ W ∗ C ] [H*W*C] [H∗W∗C] 的特征,压缩为 [ 1 ∗ 1 ∗ C ] [1*1*C] [1∗1∗C],每个通道用一个数值表示
- Excitation:对这个 [ 1 ∗ 1 ∗ C ] [1*1*C] [1∗1∗C] 特征进行重要性预测,学习不同通道的重要程度
- Scale:根据学习到的重要性权重,与原特征图相乘,得到最终特征图输出

混合域(Mixed Domain)
CBAM:
依次应用通道和空间注意模块,如下图所示:

通道注意力模块:
- 先经过两种池化方式聚合信息,得到两个特征输出
- 然后通过 Shared MLP 来学习不同通道的重要程度
- 将两个注意力图相加,然后与原特征图相乘,得到最终特征

空间注意力模块:
- 沿着通道方向进行最大池化和平均池化,将两个输出特征进行通道叠加
- 对叠加后的特征图进行卷积处理,生成空间注意力图

算法部分
基于激活的注意力转移
三种实现方式:
- 按照通道方向累加特征图中每个点的绝对值
- 按照通道方向累加特征图中每个点的绝对值的 P 次方
- 对于每个点,找到其所有通道的绝对值最大值,计算该值的 P 次方

结论:
- 网络中不同层有不同的注意力区域,会生成不同的注意力图。如中间层对于最具有判别性的区域激活程度最高,最高层则反应目标整体的特征区域
- 越强大的网络往往具有更精准的注意力区域
利用注意力转移进行知识蒸馏
以 ResNet 为例,
- 相同深度:在每个残差块后做注意力转移
- 不同深度:在每个残差块组后做注意力转移

Loss 设计:

其中,
- S S S:学生网络
- T T T:教师网络
- W s W_s Ws:学生网络参数
- j j j:教师网络和学生网络对应激活层编号
- Q s Q_s Qs:学生网络激活图的向量表示
- Q t Q_t Qt:教师网络激活图的向量表示
- L ( W s , x ) L(W_s, x) L(Ws,x):学生网络交叉熵损失
- P P P:正则化类型,本文取 2
注:若想和 Hilton 的知识蒸馏中的损失函数结合,只需要在原损失函数基础上,增加 soft 蒸馏损失函数。
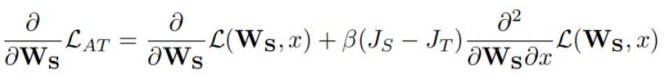
基于梯度的注意力转移
对教师网络和学生网络的交叉熵损失函数分别求梯度:

设计 Loss,以最小化 J S J_S JS 和 J T J_T JT 的距离:

给定输入和教师网络的参数,求学生网络的 W W W 梯度,用来实现参数更新:

本文来自互联网用户投稿,文章观点仅代表作者本人,不代表本站立场,不承担相关法律责任。如若转载,请注明出处。 如若内容造成侵权/违法违规/事实不符,请点击【内容举报】进行投诉反馈!
