Seteman读论文小记:Wet-Ra: Monitoring Diapers Wetness with Wireless Signals
注:本周笔者阅读的为MENG XUE, YANJIAO CHEN, XUELUAN GONG, JIAN ZHANG, CHUNKAI FAN一篇关于检查尿不湿湿度的设计模型:Wet-Ra
Content
1.abstract & introduction
2.preliminaries
3.WET-RA: detailed construction
4.related work
1.abstract & introduction
如今,尿不湿成为婴幼儿和部分病人的必备品。为了保证卫生,我们需要持续检查其湿度。随着技术的发展,人们要求这个过程中避免尴尬,即在视觉遮挡的前提下检查。而这方面的研究早就有人进行,目前主要有两种方式:1.湿度指示剂;2.传感器检测。前者的指示剂无法及时反应湿度,只会在湿了之后变色,导致医护人员要不断进行检查;而后者存在诸多问题:传感器贴上的不适、更换尿不湿时传感器要进行装卸等。而本文介绍的Wet-Ra不存在这些问题。其利用射频信号实现了无接触、普适性、连续性的尿片湿度监测。无需视觉检查和传感器位移,使系统方便和用户友好。

为了从射频信号中提取湿度检测所需的信息特征,我们构建了连续无线电快照,并建立了相应的信号表示,以捕捉不同湿度水平的尿布的不同模式。我们利用小波多同步压缩变换消除了环境中的多径干扰,减轻了信号的涂抹效应,从而改进了信号的表示。为了扩展Wet-Ra的可用性,我们建立了一个可转移的模型,在不同的环境和新用户中产生健壮的检测结果。在多次实验中,Wet-Ra表现良好。
2.preliminaries
2.1 尿布构造

尿布构造分为:表层(与皮肤接触,作用是在柔软干燥的同时输送液体。)吸水层(由高吸水性聚合物组成,作用是将液体从最上面的薄片移到下一层。)吸收剂核心。(尿布的核心部分,由纤维素绒毛和聚丙烯酸酯颗粒(刚性凝胶)组成。纤维素绒毛吸收液体,然后聚丙烯酸酯颗粒捕获液体。)底层(防止液体外漏)
2.2 利用现有的毫米波雷达生成连续无线电快照
现有工作大多采用雷达的调频连续波进行距离检测并推导出运动,不适用于湿度检测。而我们使用的为通过接收到的雷达信号中获得连续无线电快照利用干湿尿不湿在反射雷达波时体现的差异区分尿布的湿度。

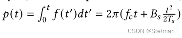
如图所示,信号频率随时间线性增加,表现为
(t表示时间,fc表示启动频率,Bs为扫描带宽,Ts为扫描时长)
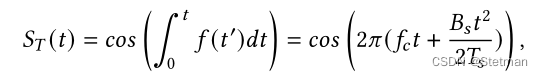
因而相位为
从而将发射信号表示为: 
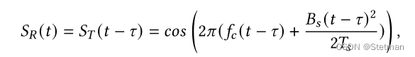
则接受信号为
为反射性号的延时。
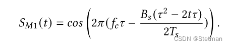
将得到的入射反射波相乘
,再进行滤波得到第一个高频分量:

此后,我们应用range-FFT根据周期性得到接下来的形式,再利用这一系列的信号构造了一个连续无线电快照
2.3 无线电快照(CRS)表示尿布湿度

上图为基于CRS从干尿布和湿尿布中提取的信号剖面。我们可以观察到,无论使用者穿的是棉裤还是涤纶裤,干尿布的信号分布都是相似的。然而,即使使用者穿着同样的裤子,干尿布的信号分布也与湿尿布不同。为了量化信号剖面之间的相似性,我们计算了结构相似指数(SSIM),它衡量了两幅图像之间的结构差异。SSIM值越大,说明两个配置文件的相似度越高。如下表所示,相同设置(湿/干尿布、棉/涤纶裤子)的信号剖面之间的SSIM最高。

这表明,根据雷达反射信号的CRS来区分尿布的湿润程度是可能的。我们进一步将t分布随机嵌入(t-SNE)应用到信号剖面上,可视化了不同用户在不同状态下湿尿布和干尿布的信号剖面分布。下图6为同一场景下不同用户的t-SNE值分布,图7为单个用户在不同场景(角度、距离、睡姿)下湿尿布和干尿布的t-SNE值分布。我们可以观察到,在图6和图7中,湿尿布和干尿布的t-SNE值分布是很好的分离。注意,图6和图7中的点云方向与t-SNE无关,因为t-SNE主要区分的是不同类别。


2.4 现存挑战
1.如何将提取的信息进行表示。
2.如何减少多径干扰以使结果更为精准。(RF信号会被多个静态和移动的物体反射,这些物体的干扰会淹没尿布湿度信息。)
3.如何适应不同用户和环境以实现普适性。
3.WET-RA的设计与构想
3.1综述
模型分为三部分:CRS表示细化、信号剖面提取和可转移模型构建。如下图所示:

3.2数据采集
此实验我们采用的是毫米波雷达,在此不过多赘述。

3.3 CRS表示细化
前文已经提及,原始CRS包含复杂的多径干扰。因此,我们先对CRS中的干扰进行滤波,然后由改进后的CRS推导出信号的表示形式。
首先是过滤干扰:我们采用了背景噪声消除的方法处理多径干扰问题,即为在雷达范围内并没有检测到用户时,我们记录此时值为CRS0,即背景值。如下图

如此,我们通过
消除干扰。(其中CRS为原值,CRS'为处理后值)如下图所示,由于多径干扰,原始CRS包含扩展的高亮分量。经过改进后,CRS更加关注属于纸尿裤反射信号的分量。

同时,我们还考虑到使用者呼吸会存在影响,因此,我们收集一个使用者正常穿着但不穿尿不湿的情况数据,记作CRSb,如下图:

然后,我们通过
对呼吸造成的影响进行过滤。(CRS''为过滤了呼吸影响后的CRS)。如下图所示,多径效应抵消后的CRS中含有呼吸引起的虚假高亮分量。去除呼吸后,CRS可消除呼吸的影响。

其次是提取信号表示。对CRS中最强分量进行傅里叶逆变换处理,得到信号表示为
表示CRS''最大值周边一系列点组成的点集。如下图,湿尿布和干尿布的信号表征在频域有明显不同。其中一个主要原因是纸尿裤内部材料遇水会产生凝胶,湿纸尿裤中的凝胶会吸收部分传输的射频信号。

3.4 信号剖面的提取
在得到信号之后,这一步工作即为:从该表示中提取信号剖面,以获取不同湿度尿布的特征。为了避免由海森堡测不准原理导致产生模糊的时频图。我们采用小波多同步压缩变换(wmst)来获得信号剖面。wmst利用逐步迭代重赋来集中模糊TF图。

其中,
为转化谱,
为时间域。
有![]()
![]()
![]()
(我们选择Morlet小波基函数(
),因为它在频域和时域都具有较高的分辨率)
转化后,我们进行多重小波同步压缩变换,将时频表示细化为:

其中p为信号剖面,M为同步压缩变换的小波的数量。
为瞬时频率,
为时间,
为频率。

为了验证我们所选方案的效果,我们比较了wmst处理后的信号和STFT处理后的信号。如上图所示,STFT提取的湿尿布和干尿布的信号剖面没有明显的规律。(如图(a)和图(b)所示,干尿布的信号谱与湿尿布的信号谱有显著差异。提取清晰、清晰的信号剖面是准确预测尿布湿度的必要条件。
)此外,如下表所示,湿尿布和干尿布的STFT信号谱的SSIM不明显,证实了wmst在区分湿尿布和干尿布信号方面优于STFT。

3.5适应性的模型
我们利用信号剖面训练分类模型,通过射频感应了解尿布的湿度。其中希望经过训练的模型能够在不同的环境中检测尿片的湿度。然而,如果测试数据样本的分布与训练数据样本的分布不一致,传统的机器学习模型将遭受显著的性能下降。为了解决这一问题,我们构建了一个可转移模型,该模型利用在源领域学习到的知识和来自目标领域的少量样本来快速适应新环境,以实现其普适性。

如上图所示,适应性模型基于启发式域自适应网络,包括4个阶段:
1)从信号轮廓中提取特征表示,
2)计算原始场景与其他场景的特征表示的差异,
3)去除差异,
4)根据特征预测尿布湿度。
总而言之,本篇工作采用的处理不同环境带来干扰的方法为背景减法
4.related work
1.基于特殊传感器的尿布湿度检测
当前工作者开发了Geecare、Opro9、Diapersens、PIPI等定制传感器来检测尿布的湿度,通过蓝牙将湿度检测结果发送到智能手机。一般会将传感器设计为一种可穿戴设备,通过感知尿布外表面的温度来检测尿量。Geecare 、Opro9、Diapersens和PIPI是商用现货传感器。但是,这些传感器需要粘在纸尿裤上,每次换尿布都需要重新粘在新的纸尿裤上,这很不方便,无法应用到普通纸尿裤上。
4.2基于RFID的尿布湿度检测
4.3基于射频的应用
目前基于RF的应用主要在于人相关和与人无关两方面:与人相关即感知人生命体征变动;无关则为监测一些物品的变化(如轮胎磨损)。
本文来自互联网用户投稿,文章观点仅代表作者本人,不代表本站立场,不承担相关法律责任。如若转载,请注明出处。 如若内容造成侵权/违法违规/事实不符,请点击【内容举报】进行投诉反馈!
