钻孔化孔弹性应力分析benchmark
钻孔化孔弹性应力分析benchmark
本文介绍体积元(FVM)求解水力化三场耦合方程组的方法和结果简单分析。通过与解析解的结果对比验证程序的有效性(原始数据以及理论解由H.D Cheng提供)
1.问题描述
均质地层钻孔,孔内流体与地层压力相同,孔内流体与地层流体有浓度差,且假设钻孔内流体浓度与地层浓度平衡。初始地应力为0,即仅仅观察由于孔压产生的井眼周围应力改变(so called 诱导应力)
2.问题解析
该问题是一个几何轴对称平面应变边值问题,对于几何轴对称边值问题,可以很容易的在柱坐标系下将弹性力学中势函数改为需要的形式。该问题解析解形式简单,方便求解。
3.假设条件
1.孔内流体与孔隙流体为稀溶液2.多孔介质饱和流体3.固体骨架满足线弹性小变形
假设条件分析:
稀溶液假定是为了线性化控制方程。饱和地层流体假定是为了避免大变形问题。因为干燥泥岩遇水膨胀分为两个阶段,晶间水化膨胀和渗透水化膨胀。前者对水化分散起主导作用,具有很高的膨胀压,是粘土矿物晶体片层强吸水导致的。渗透水化膨胀是由扩散双电层的同性电荷云相互排斥导致的,很明显这是一个可逆过程。晶间膨胀是个不可逆过程,对于孔隙材料的结构破坏是颠覆性的。真实岩层由于矿物分布非均质性,这种非均匀膨胀会产生裂纹,在连续介质框架内已然无法讨论(有人强行使用,但笔者认为不合理)。
4.控制方程
应力场:
G ∇ 2 u ⃗ + ( K c + G 3 ) ∇ ( ∇ ⋅ u ⃗ ) − α c ∇ p + α μ ∇ c s = 0 G \nabla^{2} \vec{u}+\left(K_{c}+\frac{G}{3}\right) \nabla(\nabla \cdot \vec{u})-\alpha_{c} \nabla p+\alpha_{\mu} \nabla c_{s}=0 G∇2u+(Kc+3G)∇(∇⋅u)−αc∇p+αμ∇cs=0
化学场:
∂ c s ∂ t − D c ′ ∇ 2 c s = − α c ′ β β ∂ e ∂ t − 1 M c β β ∂ p ∂ t \frac{\partial c_{s}}{\partial t}-D_{c}^{\prime} \nabla^{2} c_{s}=-\frac{\alpha_{c}^{\prime}}{\beta_{\beta}} \frac{\partial e}{\partial t}-\frac{1}{M_{c} \beta_{\beta}} \frac{\partial p}{\partial t} ∂t∂cs−Dc′∇2cs=−ββαc′∂t∂e−Mcββ1∂t∂p
孔压场:
∂ p ∂ t − M c κ p ∇ 2 p = − M c α c ′ ∂ e ∂ t − M c β α ∂ c s ∂ t \frac{\partial p}{\partial t}-M_{c} \kappa_{p} \nabla^{2} p=-M_{c} \alpha_{c}^{\prime} \frac{\partial e}{\partial t}-M_{c} \beta_{\alpha} \frac{\partial c_{s}}{\partial t} ∂t∂p−Mcκp∇2p=−Mcαc′∂t∂e−Mcβα∂t∂cs
以上求解变量有5个,方程数为5,构成一组封闭的方程组,针对不同的物理问题加上对应的边初值即可求解。
具体参数见Poroelasticity by Alexander H.D Cheng.这不是本博客重点,因此不再一一详细列出。同样,本博客也不对解的物理意义进行分析讨论。
本博客重点是再次验证FVM方法的有效性及实用性。
5.FVM的特点
众所周知,MacOS是当下全世界最好用的操作系统,稳定且高效。比MacOS 更快更稳定的是Linux,这是全世界各大公司(包括微软)采用其作为服务器系统的原因。而Windows在家用PC的市占率一直遥遥领先。究其原因是Win是亲人系统,Linux是亲机器系统。一台2005年的老笔记本,运行现在的WIN10会卡的你怀疑人生,而装最新的乌班图(或者红帽子… as you like)运行快如新机。而MacOS是介于人和机器之间的系统,有人称之类Linux系统。这就是MacOS强大之处。
刚入门数值计算的人喜欢有限差分,最易入门,编程方便,收敛容易。而有限元方法无论空间离散还是时间离散都对操作者有很高的要求,经常会遇到收敛性的问题。严格来讲,任何一个用有限元方法计算的论文都应该有一节对数值误差做讨论。有限元的误差与网格划分有很大关系。网格过大造成结果失去意义。网格过密,不但考验计算机内存CPU等硬件,而且最关键的是截断误差会影响求解精度。与MacOS类似,FVM是一个介于上述二者之间的方法。相对于有限元,FVM在求解收敛性上优势明显。同时有有限差分简单易懂高效可靠的优点。很多有限元不容易收敛的问题,FVM能够很快的解决,且精度很高。这一点接下来将会展示。
6.Validation
以下与理论解对比验证程序的正确性
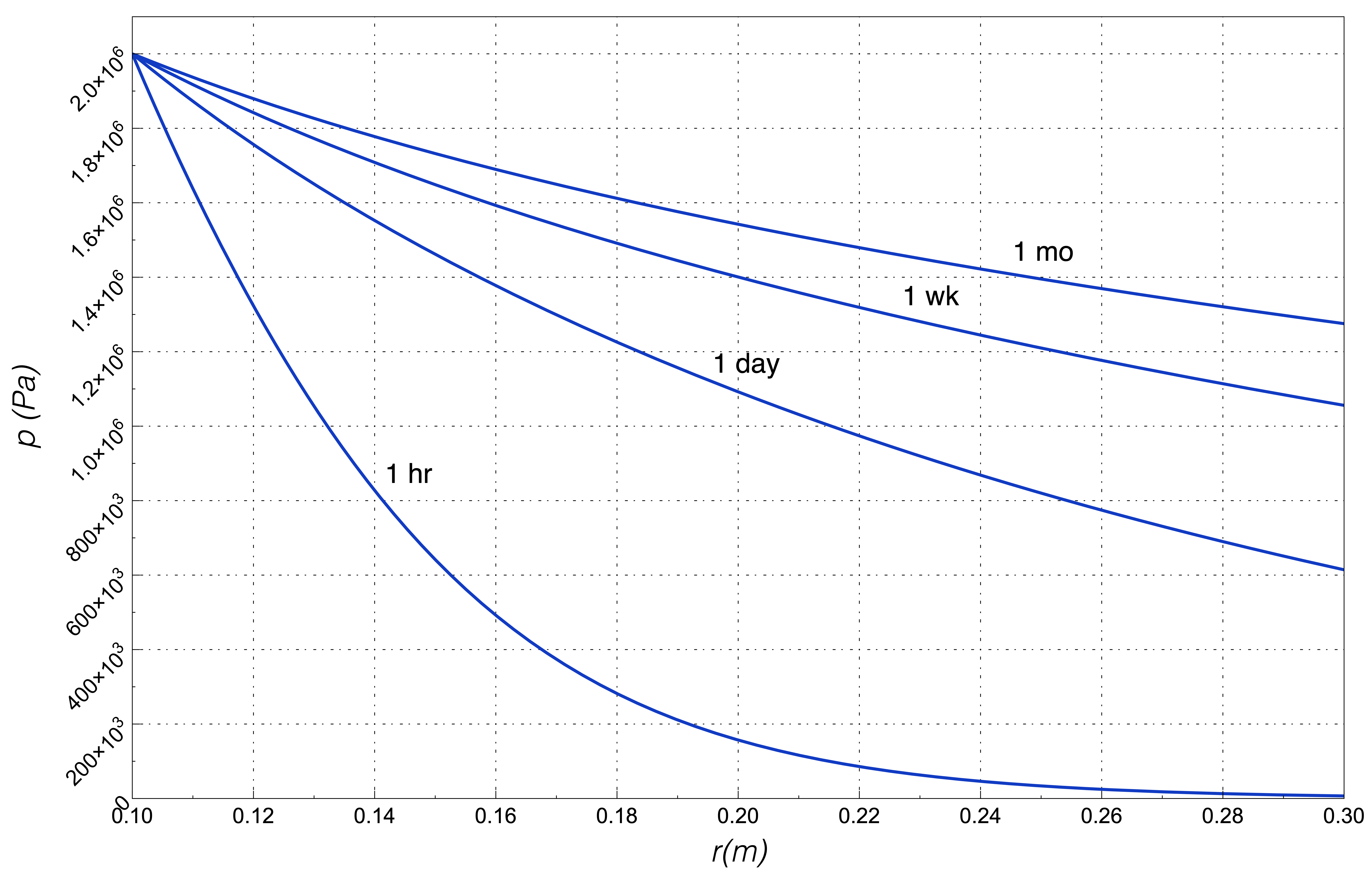
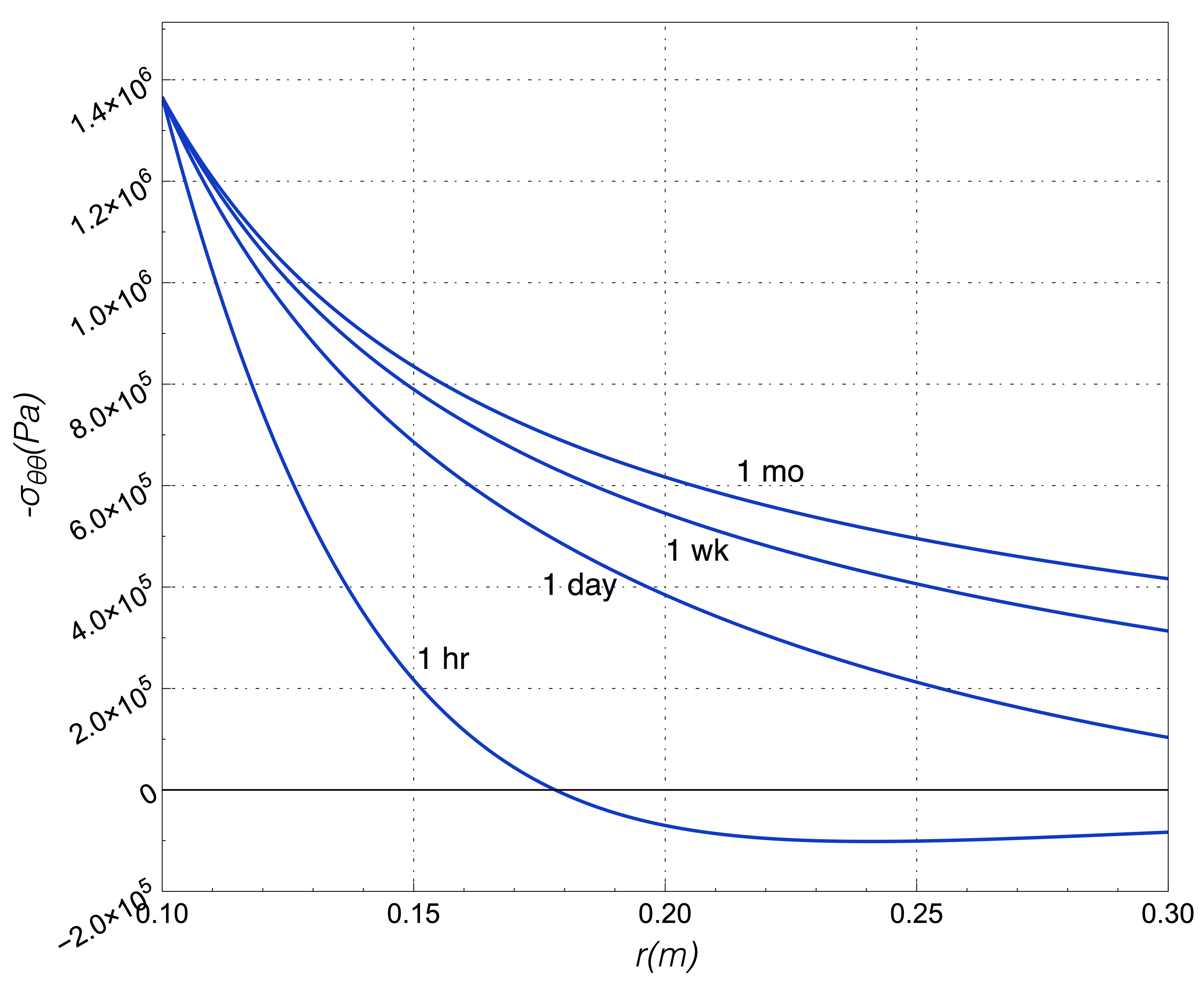
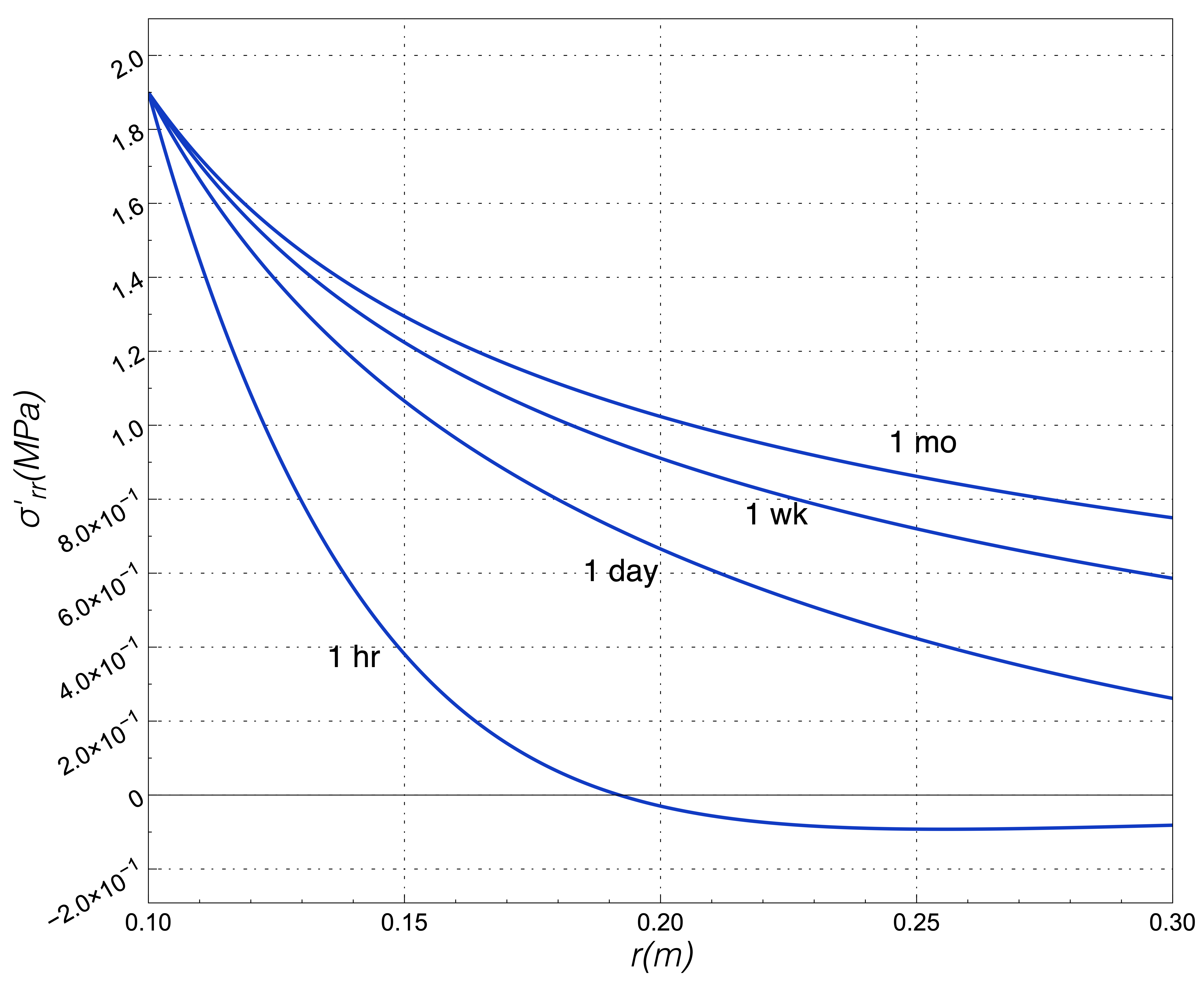
图1-6为一组,模拟的是初始时刻三个带求解的状态变量初始平衡状态,在t0时刻钻孔边界孔压力突然增大2MPa,不难发现,在无穷大时间后,求解域内所有的点都跟随扰动到达2MPa,即图1的曲线随时间趋于平缓无线趋近为一条水平线。

图1 孔压随时间扩散

图2 孔压诱导渗透压扩散

图3 孔压诱导径向应力

图4 孔压诱导周向应力

图5 孔压诱导径向Terzaghi有效应力

图6 孔压诱导周向Terzaghi有效应力

图7 analytical solutions by Cheng.H.D
图7中的a,b,c,d,e,f对应的博客中的图2,1,3,4,5,6。诚如所见,FVM成功地实现了该问题的计算,精度较高。
源代码已经在上一篇博客里公开,这里仅加了4行代码,过于简单故不再重复。
本文来自互联网用户投稿,文章观点仅代表作者本人,不代表本站立场,不承担相关法律责任。如若转载,请注明出处。 如若内容造成侵权/违法违规/事实不符,请点击【内容举报】进行投诉反馈!
