体制转换-VAR
马尔科夫回归
马尔科夫体制转换模型的定义:它其实是一种非线性的模型,拿最简单的回归模型来说,若是没有结构性变化,可以拟合一个线性方程,那若是这整个系统当中出现了结构性变点的话,就不能笼统的拟合一个线性模型,这经常在经济学领域中碰到,股票市场有牛市和熊市之分,应该分别建立模型,一种最简单的方法划分时期,也就是在把时间序列数据分段。那还有一种方法是建立体制转换模型 ,由系统自动识别结构性断点在哪里,这与HMM模型很像,经济学里好像也叫做状态空间模型,分为状态生成过程和观测数据生成过程,下一个时刻的状态只与当前时刻的状态和状态转移概率矩阵有关,而下一个时刻生成的数据只与下一个时刻所处的状态有关。
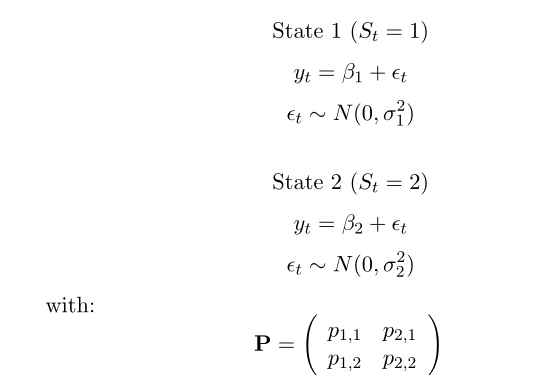
单个因变量的马尔科夫转换回归模型

单个变量的马尔科夫转换回归模型就像上面那样很简单,因为只用考虑残差的方差即可,如果有两个或两个以上的方程就要考虑不同方程之间的协方差了,这个协方差真的是非常重要
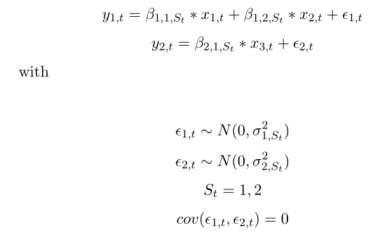
多因变量的马尔科夫转换回归模型

上面定义的是两个方程的协方差为0,那么如果数据是已经经过标准化和中心化处理的话,那么如果两个变量之间的协方差为0,就表示两个变量之间的偏相关系数为0,也就是这两个变量之间没有相关关系。
我一直做的是VAR,一般不是这样的,VAR里面基本上方程之间的餐后残差协方差是有相关关系的,这个相关关系还非常的重要,有很多 不同的方法来识别,残差之间的关系也就反映了原始变量之间的关系。VAR模型也是回归模型,那么自然而然的就有MS-VAR,但是把这个MSVAR就有很多种了。
MSVAR
VAR有下面两种,前者是包含截距的,后者是均值调整的VAR,后者的这个形式在学过的AR模型中也有体现过,



其实我一直做得是没有截距项的,但是加上截距项也没有关系不影响
那么自然对应的MSVAR也有这两种


对应的参数为


MSVAR有好多种变形,MSI-VAR指的是只有截距项是时变的,回归系数和残差协方差矩阵都是时间不变的,也就是与该时刻所处的状态无关
但是我一般使用的是MSAH-VAR,这指的是回归系数和协方差矩阵都依赖于具体的状态,而截距项是与状态无关的。


在广义的MSVAR当中,所以的参数都是时变的,但是实现应用当中我们往往只需要一种是时变的,要不模型太复杂了。

本文来自互联网用户投稿,文章观点仅代表作者本人,不代表本站立场,不承担相关法律责任。如若转载,请注明出处。 如若内容造成侵权/违法违规/事实不符,请点击【内容举报】进行投诉反馈!
